SARS-CoV-2 is more resistant on surfaces in spring and autumn than in summer

In a recent bioRxiv* preprint paper, researchers from Kansas State University demonstrate astonishing persistence of the severe acute respiratory syndrome coronavirus 2 (SARS-CoV-2) on various types of surfaces – especially under spring/fall climate conditions.

Although the transmission of SARS-CoV-2, a causative agent of the devastating coronavirus disease (COVID-19) pandemic, primarily occurs via infectious droplets or due to close contact with infected individuals, the virus in the droplet can survive and sustain infectiousness on inanimate surfaces.

Naturally, this contributes to its further spread, and SARS-CoV-2 stability on surfaces under different climate conditions may even be used to predict seasonality of the disease. However, the research in this area has thus far been scarce.

What we do know is that virus stability reduces in human nasal mucus and sputum when compared to culture medium. In contrast, the exposure to simulated sunlight accelerates the viral inactivation on stainless steel. On the other hand, the role of fomites (i.e., inanimate objects that may serve as passive vectors) in the transmission is still heavily debated.

This is why Dr. Taeyong Kwon, Dr. Natasha N. Gaudreault, and Dr. Juergen A. Richt from the Kansas State University in the United States went a step further in their aim to evaluate the behavior and exact biological half-life of SARS-CoV-2 in an indoor setting, summer and spring/fall conditions.

Air-dried virus, different surfaces, and cell lines

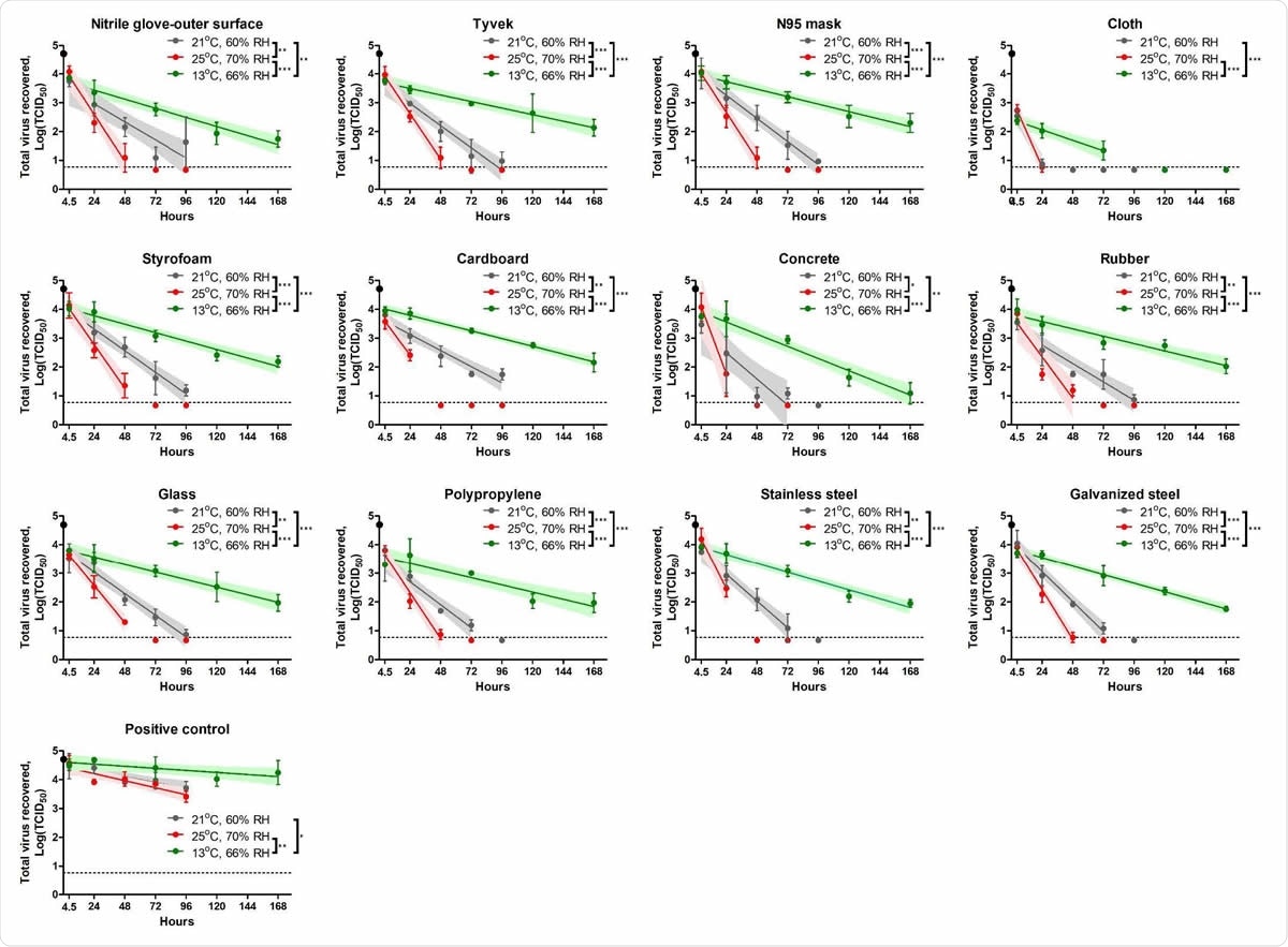
This group of researchers tested SARS-CoV-2 stability on twelve different material surfaces – including nitrile gloves, N95 mask, cloth, Tyvek Styrofoam, concrete, cardboard, glass, rubber, polypropylene, galvanized steel, and stainless steel.

Stability of severe acute respiratory coronavirus 2 (SARS-CoV-2) on different types of surfaces. Each figure represents the virus decay on each surface. Total 50 μl of virus inoculum (5×104 TCID50, black dot) was added onto each material and dried for 4.5 hours inside a biosafety cabinet. The virus survival was evaluated under three different conditions: at 21°C/60% RH (grey), 25°C/70% RH (red) and 13°C/66% RH (green). The infectious virus was recovered at 4.5 (after drying period), 24, 48, 72, and 96 hours post-contamination (hpc) at 21°C/60% RH and 25°C/70% RH and 4.5, 24, 72, 120, and 168 hpc at 13°C/66% RH. Virus titer at each time point was expressed as mean log10 transformed titer with standard deviation. Linear regression models were estimated; the solid line and its shade area represent an estimated best fit model and 95% confidence intervals, respectively. Limit of detection (LOD) in each titration assay was 100.968 TCID50 and a negative result is represented as a half value of LOD, 100.667 TCID50. The dash line shows LOD in triplicate, 100.767 TCID50, when there was LOD in one replicate, but negative in two other replicates. Statistical significance between two slopes of linear regression models is represented as * (p < 0.05), ** (p < 0.01), *** (p < 0.001).
Stability of severe acute respiratory coronavirus 2 (SARS-CoV-2) on different types of surfaces. Each figure represents the virus decay on each surface. Total 50 μl of virus inoculum (5×104 TCID50, black dot) was added onto each material and dried for 4.5 hours inside a biosafety cabinet. The virus survival was evaluated under three different conditions: at 21°C/60% RH (grey), 25°C/70% RH (red) and 13°C/66% RH (green). The infectious virus was recovered at 4.5 (after drying period), 24, 48, 72, and 96 hours post-contamination (hpc) at 21°C/60% RH and 25°C/70% RH and 4.5, 24, 72, 120, and 168 hpc at 13°C/66% RH. Virus titer at each time point was expressed as mean log10 transformed titer with standard deviation. Linear regression models were estimated; the solid line and its shade area represent an estimated best fit model and 95% confidence intervals, respectively. Limit of detection (LOD) in each titration assay was 100.968 TCID50 and a negative result is represented as a half value of LOD, 100.667 TCID50. The dash line shows LOD in triplicate, 100.767 TCID50, when there was LOD in one replicate, but negative in two other replicates. Statistical significance between two slopes of linear regression models is represented as * (p < 0.05), ** (p < 0.01), *** (p < 0.001).

This news article was a review of a preliminary scientific report that had not undergone peer-review at the time of publication. Since its initial publication, the scientific report has now been peer reviewed and accepted for publication in a Scientific Journal. Links to the preliminary and peer-reviewed reports are available in the Sources section at the bottom of this article. View Sources

The virus used in the experiments was air-dried inside a biosafety cabinet for approximately 4.5 hours. Then the plate containing virus-contaminated material has been incubated under three different environmental conditions simulating indoor setting, summer, and spring/fall conditions characteristic for the Midwestern United States.

Finally, the recovered virus was titrated on Vero (African green monkey kidney) cells, while viral titers were calculated by using the Reed-Muench method, which is a simple tool in experimental biology for determining 50% endpoints or the test substance concentration that produces an effect in half of the test units.

Differing half-life ranges

This study showed that the longest half-life of SARS-CoV-2 can be observed during spring and fall conditions (13 °C with relative humidity of 66%), ranging from 17.11 to 31.82 hours.

This is followed by indoor conditions (21°C with relative humidity of 60%) and summer conditions (25°C with relative humidity of 70%), where viral half-lives were 3.5-11.33 hours and 2.54-5.58 hours, respectively.

"We found the half-life on most surfaces at 21°C/60% relative humidity is 6.93–12.86, but the virus is quickly inactivated on cloth with a 3.5 hours half-life", further state study authors in this bioRxiv paper.

Such noticeable difference might be explained by the organization of the virus inoculum used in the study, the volume of inoculum, different environmental conditions, as well as differences in the material preparation.

Public health implications

"Our study showed a remarkable persistence of infectious SARS-CoV-2 on various types of surfaces, especially under spring/fall climate conditions", say study researchers. "However, virus stability was highly dependent on the substrate as well as temperature and humidity", they add.

Prolonged survival on various surfaces in spring, fall and winter might support viral transmission through contaminated fomites and possibly contribute to new outbreaks or seasonal occurrence in the post-pandemic era – a scenario already seen for influenza virus and other human coronaviruses.

Consequently, this reinforces the importance of adequate personal hygiene and consistent disinfection of potentially contaminated surfaces, which remains a pivotal tool to minimize the risk of infection via contaminated surfaces.

This news article was a review of a preliminary scientific report that had not undergone peer-review at the time of publication. Since its initial publication, the scientific report has now been peer reviewed and accepted for publication in a Scientific Journal. Links to the preliminary and peer-reviewed reports are available in the Sources section at the bottom of this article. View Sources

Journal references:

Article Revisions

  • Mar 30 2023 - The preprint preliminary research paper that this article was based upon was accepted for publication in a peer-reviewed Scientific Journal. This article was edited accordingly to include a link to the final peer-reviewed paper, now shown in the sources section.
Dr. Tomislav Meštrović

Written by

Dr. Tomislav Meštrović

Dr. Tomislav Meštrović is a medical doctor (MD) with a Ph.D. in biomedical and health sciences, specialist in the field of clinical microbiology, and an Assistant Professor at Croatia's youngest university - University North. In addition to his interest in clinical, research and lecturing activities, his immense passion for medical writing and scientific communication goes back to his student days. He enjoys contributing back to the community. In his spare time, Tomislav is a movie buff and an avid traveler.

Citations

Please use one of the following formats to cite this article in your essay, paper or report:

  • APA

    Meštrović, Tomislav. (2023, March 30). SARS-CoV-2 is more resistant on surfaces in spring and autumn than in summer. News-Medical. Retrieved on January 19, 2026 from https://intakehealthlab.com/news/20200901/SARS-CoV-2-is-more-resistant-on-surfaces-in-spring-and-autumn-than-in-summer.aspx.

  • MLA

    Meštrović, Tomislav. "SARS-CoV-2 is more resistant on surfaces in spring and autumn than in summer". News-Medical. 19 January 2026. <https://intakehealthlab.com/news/20200901/SARS-CoV-2-is-more-resistant-on-surfaces-in-spring-and-autumn-than-in-summer.aspx>.

  • Chicago

    Meštrović, Tomislav. "SARS-CoV-2 is more resistant on surfaces in spring and autumn than in summer". News-Medical. https://intakehealthlab.com/news/20200901/SARS-CoV-2-is-more-resistant-on-surfaces-in-spring-and-autumn-than-in-summer.aspx. (accessed January 19, 2026).

  • Harvard

    Meštrović, Tomislav. 2023. SARS-CoV-2 is more resistant on surfaces in spring and autumn than in summer. News-Medical, viewed 19 January 2026, https://intakehealthlab.com/news/20200901/SARS-CoV-2-is-more-resistant-on-surfaces-in-spring-and-autumn-than-in-summer.aspx.

Comments

The opinions expressed here are the views of the writer and do not necessarily reflect the views and opinions of News Medical.
Post a new comment
Post

Sign in to keep reading

We're committed to providing free access to quality science. By registering and providing insight into your preferences you're joining a community of over 1m science interested individuals and help us to provide you with insightful content whilst keeping our service free.

or

While we only use edited and approved content for Azthena answers, it may on occasions provide incorrect responses. Please confirm any data provided with the related suppliers or authors. We do not provide medical advice, if you search for medical information you must always consult a medical professional before acting on any information provided.

Your questions, but not your email details will be shared with OpenAI and retained for 30 days in accordance with their privacy principles.

Please do not ask questions that use sensitive or confidential information.

Read the full Terms & Conditions.

You might also like...
How COVID mRNA vaccines may make cancer treatments more effective