Religion and risk of COVID-19 in UK

Researchers from the United Kingdom studied the association between religious affiliation and risk of deaths due to severe acute respiratory syndrome coronavirus 2 (SARS-CoV-2) in England and Wales. Their study titled, “Religious affiliation and the risk of COVID 19 related mortality; a retrospective analysis of variation in pre and post lockdown risk by religious group in England and Wales,” was published in the pre-publication site medRxiv*.

Background

Researchers led by Charlotte Hannah Gaughan from the Office for National Statistics, Newport, UK, write that there have been several socioeconomic and behavioral factors that have been associated with the risk of deaths due to COVID-19 caused by SARS CoV2. Some of these factors have been associated with lockdowns that have prevented people from gathering. They wrote that “religious gatherings had been linked with the spread of COVID,” and they tried to understand the variations in the risk of COVID 19 related deaths among religious groups in the UK both before and after the lockdowns.

Religious gatherings and COVID-19

The World Health Organisation (WHO) has expressed concerns that religious practices and gatherings can “contribute to the spread of COVID 19”. The authors write that transmission risk is raised with “communal religious prayers and large attendance at religious gatherings and festivals” that raise the chance of community transmission. The authors write, “several studies have shown that outbreaks worldwide have been traced to centers of worship and religious ceremonies.”

Hazard ratios for COVID 19 related mortality for religious groups compared to Christians, stratified by sex.
Hazard ratios for COVID 19 related mortality for religious groups compared to Christians, stratified by sex.

This news article was a review of a preliminary scientific report that had not undergone peer-review at the time of publication. Since its initial publication, the scientific report has now been peer reviewed and accepted for publication in a Scientific Journal. Links to the preliminary and peer-reviewed reports are available in the Sources section at the bottom of this article. View Sources

UK stance on religious gatherings and lockdown and this study

In the UK, law mandated the prohibition of religious gatherings on 23 March 2020 to prevent community spread of COVID-1. The authors of this study aimed to see if the risk of COVID-19 mortality was different in England and Wales before and after such lockdown measures.

The authors write that around 67 percent of the UK population identify with a religion, and this does not corroborate with participation in religious practice. They noted, “75% of Sikhs attend regular practices while only 29% of Christians do”.

Smoothed Schoenfeld residuals from age adjusted Cox regression models for Jewish males and females Time at risk starts on 2 March 2020. b(t) represents the estimated time-varying model coefficient (the natural logarithm of the hazard ratio)
Smoothed Schoenfeld residuals from age adjusted Cox regression models for Jewish males and females Time at risk starts on 2 March 2020. b(t) represents the estimated time-varying model coefficient (the natural logarithm of the hazard ratio)

Study design

The team used the 2011 Census of England and Wales and the death registrations to look for age-adjusted risk of dying with COVID 19 for each religious group. They also gathered the socio-demographic information on the deaths as well as the risks for occupational exposure to the disease.

This was a retrospective cohort study, including 48,422,583 individuals from the 2011 Census. Death certificates were used to detect the risk of deaths among individuals. To assess the association between the two, they used Cox regression models. They calculated the hazard ratios (HR) pre and post lockdown period. There were a total of 36,726 COVID deaths, they noted. A total of nine religious groups were identified, “No religion, Christian, Buddhist, Hindu, Jewish, Muslim, Sikh, Any other religion, or Religion not stated.” Follow-up time was from 2 March 2020 to 15 May 2020.

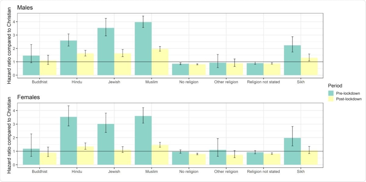
Pre and post lockdown, age adjusted hazard ratios of COVID 19 related mortality for religious groups compared to Christians, stratified by sex.
Pre and post lockdown, age adjusted hazard ratios of COVID 19 related mortality for religious groups compared to Christians, stratified by sex.

Findings and results

Results of the study showed a distinct association between religious affiliation and the risk of mortality due to COVID-19. Overall findings were:

  • The average age of the participants was 47 years
  • Compared to Christians, all other religious groups had a raised risk of death due to COVID-19.
  • The risk of deaths was lowest among those who practiced no religion before and after the lockdown. The authors wrote, “For both males and females, Jews, Muslims, Hindus, Sikhs, and Buddhists experienced greater age-adjusted rates of COVID 19 related mortality than Christians”.
  • Risks of deaths were more significant for males than females
  • Muslim and Jewish males had the highest Hazard ratio of death due to COVID-19 when adjusted for age. The HR was 2.5 (95 percent confidence interval 2.3-2.7) and 2.1 (95 percent CI 1.9-2.5), respectively.
  • HR for Muslim and Jewish females was 1.9 (95% CI 1.7-2.1) and 1.5 (95% CI 1.7-2.1), respectively.
  • The HR for Buddhist males (1.0) and females (0.8) was reduced as was for Hindu males (1.3) and females (1.3).
  • The team found that the risk of deaths was lower for some groups such as “Sikhs, female Buddhists, and those of any other religion, no religion, or unknown religious affiliation,” when compared to Christians when all factors were adjusted.
  • The researchers wrote, “For all non-Christian groups, the national lockdown was associated with reduced mortality risk compared with the Christian group.”

Conclusions and implications

The researchers concluded that “Jews remained at a higher risk of death (due to COVID-19) compared to all other groups”. They wrote, “Lockdown measures were associated with reduced differences in COVID 19 mortality rates between religious groups,” and called for further research to look at the efficacy of prohibition of religious gatherings in reducing the risk of COVID-19 related deaths.

This news article was a review of a preliminary scientific report that had not undergone peer-review at the time of publication. Since its initial publication, the scientific report has now been peer reviewed and accepted for publication in a Scientific Journal. Links to the preliminary and peer-reviewed reports are available in the Sources section at the bottom of this article. View Sources

Journal references:
  • Preliminary scientific report. Religious affiliation and the risk of COVID 19 related mortality; a retrospective analysis of variation in pre and post lockdown risk by religious group in England and Wales. Charlotte Gaughan, Daniel Ayoubkhani, Vahe Nafilyan, Peter Goldblatt, Chris White, Karen Tingay, Neil Bannister medRxiv 2020.10.01.20204495; doi: https://doi.org/10.1101/2020.10.01.20204495
  • Peer reviewed and published scientific report. Gaughan, Charlotte Hannah, Daniel Ayoubkhani, Vahe Nafilyan, Peter Goldblatt, Chris White, Karen TIngay, and Neil Bannister. 2021. “Religious Affiliation and COVID-19-Related Mortality: A Retrospective Cohort Study of Prelockdown and Postlockdown Risks in England and Wales.” J Epidemiol Community Health 75 (6): 509–14. https://doi.org/10.1136/jech-2020-215694https://jech.bmj.com/content/75/6/509.

Article Revisions

  • Mar 28 2023 - The preprint preliminary research paper that this article was based upon was accepted for publication in a peer-reviewed Scientific Journal. This article was edited accordingly to include a link to the final peer-reviewed paper, now shown in the sources section.
Dr. Ananya Mandal

Written by

Dr. Ananya Mandal

Dr. Ananya Mandal is a doctor by profession, lecturer by vocation and a medical writer by passion. She specialized in Clinical Pharmacology after her bachelor's (MBBS). For her, health communication is not just writing complicated reviews for professionals but making medical knowledge understandable and available to the general public as well.

Citations

Please use one of the following formats to cite this article in your essay, paper or report:

  • APA

    Mandal, Ananya. (2023, March 28). Religion and risk of COVID-19 in UK. News-Medical. Retrieved on January 17, 2026 from https://intakehealthlab.com/news/20201007/Religion-and-risk-of-COVID-19-in-UK.aspx.

  • MLA

    Mandal, Ananya. "Religion and risk of COVID-19 in UK". News-Medical. 17 January 2026. <https://intakehealthlab.com/news/20201007/Religion-and-risk-of-COVID-19-in-UK.aspx>.

  • Chicago

    Mandal, Ananya. "Religion and risk of COVID-19 in UK". News-Medical. https://intakehealthlab.com/news/20201007/Religion-and-risk-of-COVID-19-in-UK.aspx. (accessed January 17, 2026).

  • Harvard

    Mandal, Ananya. 2023. Religion and risk of COVID-19 in UK. News-Medical, viewed 17 January 2026, https://intakehealthlab.com/news/20201007/Religion-and-risk-of-COVID-19-in-UK.aspx.

Comments

The opinions expressed here are the views of the writer and do not necessarily reflect the views and opinions of News Medical.
Post a new comment
Post

Sign in to keep reading

We're committed to providing free access to quality science. By registering and providing insight into your preferences you're joining a community of over 1m science interested individuals and help us to provide you with insightful content whilst keeping our service free.

or

While we only use edited and approved content for Azthena answers, it may on occasions provide incorrect responses. Please confirm any data provided with the related suppliers or authors. We do not provide medical advice, if you search for medical information you must always consult a medical professional before acting on any information provided.

Your questions, but not your email details will be shared with OpenAI and retained for 30 days in accordance with their privacy principles.

Please do not ask questions that use sensitive or confidential information.

Read the full Terms & Conditions.

You might also like...
Tattoo ink alters immune cells and weakens some vaccine responses