Symptoms and outcomes of 3.32 million people tested for SARS-CoV-2

A recent study published on the preprint server medRxiv* in October 2020 shows the need for large-scale studies on the clinical characteristics and outcomes of COVID-19 at the national and international scale. This is essential to shape interventions and optimize the use of resources to contain and manage a second wave of the pandemic.

Differences in Testing Strategies

As the world emerged from the shadow of the first wave, most countries relied on testing and case isolation, with contact tracing and quarantine. However, there is a vast difference in the way these strategies are executed from country to country. Some do mass testing of whole populations. Others perform more targeted testing.

While the initial scarcity of tests has largely been overcome, the second wave may see testing capacity being stretched beyond its limits again. Moreover, there is a shortage of information on the disease's clinical profile and its outcomes in those tested vs. those who are positive. Population-based cohort testing is rare among the numerous reports now available.

Wide Differences in Proportion of Positive Tests

The current study aims to identify the characteristics, social, demographic, and clinical, at the time of testing of the patient with COVID-19, and the outcomes after a positive test. This is vital to understand the actual range of severity of the disease and predict the spread of the virus and the future burden it may pose to health services.

The analysis includes over 3.3 million people, of which ~219,000 returned a positive test, between January and June 2020. Patients from three different continents were included.

Comparing the test numbers with the positives found that the proportion of positives among those tested ranged from 2.3:100 to 31.2:100. There was a clear time trend in that the ratio was much higher in February to April (50:100 in April) compared to 6.8:100 in May/June 2020.

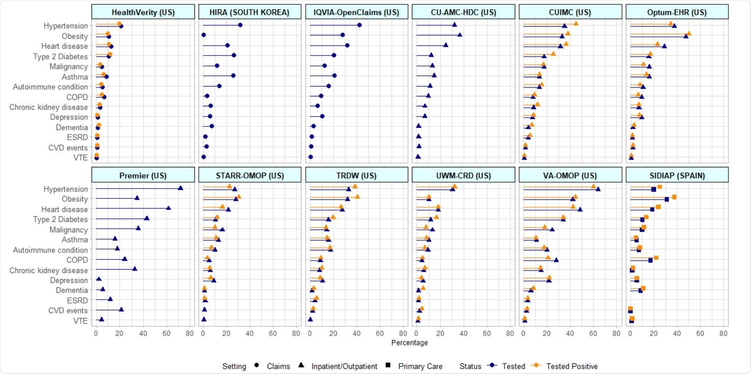
Baseline comorbidities 30-days prior to index date among SARS-CoV-2 tested and tested+ cohorts across databases of various setting
Baseline comorbidities 30-days prior to index date among SARS-CoV-2 tested and tested+ cohorts across databases of various setting

*Important notice: medRxiv publishes preliminary scientific reports that are not peer-reviewed and, therefore, should not be regarded as conclusive, guide clinical practice/health-related behavior, or treated as established information.

Sociodemographic factors

Most of the participants were adults below 64 years, with 20% to 48% being over 65, depending on the study. The proportion of women varied from 52% to 64% in almost every study included. The positives usually had a higher prevalence of chronic illness, specifically heart disease and hypertension, at ~42% and ~60% in the positive group vs. 19% and ~20% in the tested group. Obesity was also more common among the positives, at ~44%, versus 31% in the tested group.

Earlier studies have also shown that hypertension, heart disease, and diabetes are more common among those with COVID-19.

Symptoms most commonly reported in the tested group were cough, fever, and shortness of breath. Their prevalence was still higher in the positives, and patients hospitalized for any cause.

COVID-19 symptoms at index date among SARS-CoV-2 tested and tested+ cohorts across databases of various setting
COVID-19 symptoms at index date among SARS-CoV-2 tested and tested+ cohorts across databases of various setting

Outcomes Among Positives

At 30 days from diagnosis, ~4% to ~38% of positives had been hospitalized in various studies. The proportion of deaths in this period ranged from ~9% to ~11%. Outcomes tended to improve over time. The 45% rate of hospitalization in March 2020 declined to ~14% by May, and the 30-day death rate from 11% to ~1% in the same period. Positives with pneumonia in this period made up ~4% to ~22% of the whole, while 1% to 12% developed acute respiratory distress syndrome (ARDS).

Other Complications

Patients who tested positive for COVID-19 had a risk of sepsis ranging from 0.6% to ~5%. In this group, the most frequently occurring kidney complication was acute kidney injury, at up to ~8%, with dialysis being required in 1.5%.

When the total composite cardiovascular event outcome is considered, 0.2% to 5% of these patients were affected. Venous thromboembolism (VTE) was observed in 0.2% to ~2%.

Reasons for Observed Differences

The wide disparity in the proportion of positive results shows the differences in testing strategies and practices and testing coverage. The study also brought out a significant change in testing with time up to May/June 2020.

Though it is now beyond doubt that COVID-19 disproportionately affects the elderly and the male sex, the majority of those tested and of the positives were females and below 64 years. The reasons attributed to this phenomenon include increased exposure for females in the workplace, such as in hospitals or nursing homes, or the fact that women may seek testing more often.

Chronic illnesses are more common among the positives, perhaps because they are more likely to be tested because of these diseases or because they, or the treatment of these conditions, promote SARS-CoV-2 infection.

Severe and Critical Disease

The analysis shows an overall range of severe disease requiring hospitalization in 4% to 38% of the positives. These patients were also more likely to develop ARDS and several other systemic complications. This agrees with other reports, such as those from the US Centers for Disease Control and Prevention (CDC).

However, as more cases are diagnosed with less severe disease, the proportion of hospitalized cases will probably go down. The high mortality of 4% to 11% within a month of the first positive test is perhaps because the figures come from the peak pandemic months.

Implications

This is the largest group of patients to have COVID-19 tests, test reports, and baseline characteristics reported. The investigators used 12 databases from across three continents.

The authors conclude, “Our study suggests that symptoms such as cough and fever remain key disease features, predictive of a positive test.” However, these are somewhat nonspecific symptoms, and their value in discriminating between COVID-19 and other conditions like influenza needs to be carefully examined in future studies.

An important fringe benefit was that an indirect assessment of the population with a negative COVID-19 test could be carried out, comprising ~93% of the whole tested cohort. Therefore, they are responsible for the differences in patient characteristics and outcomes between the tested and positives.

The challenge facing public health authorities is to ensure adequate testing capacity for the second wave, keeping the proportion of positives low, at below 5%, to ensure the pandemic remains under control.

*Important notice: medRxiv publishes preliminary scientific reports that are not peer-reviewed and, therefore, should not be regarded as conclusive, guide clinical practice/health-related behavior, or treated as established information.

Journal reference:
Dr. Liji Thomas

Written by

Dr. Liji Thomas

Dr. Liji Thomas is an OB-GYN, who graduated from the Government Medical College, University of Calicut, Kerala, in 2001. Liji practiced as a full-time consultant in obstetrics/gynecology in a private hospital for a few years following her graduation. She has counseled hundreds of patients facing issues from pregnancy-related problems and infertility, and has been in charge of over 2,000 deliveries, striving always to achieve a normal delivery rather than operative.

Citations

Please use one of the following formats to cite this article in your essay, paper or report:

  • APA

    Thomas, Liji. (2020, October 30). Symptoms and outcomes of 3.32 million people tested for SARS-CoV-2. News-Medical. Retrieved on January 20, 2026 from https://intakehealthlab.com/news/20201030/Symptoms-and-outcomes-of-332-million-people-tested-for-SARS-CoV-2.aspx.

  • MLA

    Thomas, Liji. "Symptoms and outcomes of 3.32 million people tested for SARS-CoV-2". News-Medical. 20 January 2026. <https://intakehealthlab.com/news/20201030/Symptoms-and-outcomes-of-332-million-people-tested-for-SARS-CoV-2.aspx>.

  • Chicago

    Thomas, Liji. "Symptoms and outcomes of 3.32 million people tested for SARS-CoV-2". News-Medical. https://intakehealthlab.com/news/20201030/Symptoms-and-outcomes-of-332-million-people-tested-for-SARS-CoV-2.aspx. (accessed January 20, 2026).

  • Harvard

    Thomas, Liji. 2020. Symptoms and outcomes of 3.32 million people tested for SARS-CoV-2. News-Medical, viewed 20 January 2026, https://intakehealthlab.com/news/20201030/Symptoms-and-outcomes-of-332-million-people-tested-for-SARS-CoV-2.aspx.

Comments

The opinions expressed here are the views of the writer and do not necessarily reflect the views and opinions of News Medical.
Post a new comment
Post

Sign in to keep reading

We're committed to providing free access to quality science. By registering and providing insight into your preferences you're joining a community of over 1m science interested individuals and help us to provide you with insightful content whilst keeping our service free.

or

While we only use edited and approved content for Azthena answers, it may on occasions provide incorrect responses. Please confirm any data provided with the related suppliers or authors. We do not provide medical advice, if you search for medical information you must always consult a medical professional before acting on any information provided.

Your questions, but not your email details will be shared with OpenAI and retained for 30 days in accordance with their privacy principles.

Please do not ask questions that use sensitive or confidential information.

Read the full Terms & Conditions.

You might also like...
Post-COVID smell loss linked to brain changes in key olfactory regions