Researchers investigate SARS-CoV-2 transmission chain dynamics in the Nordic countries

To date, the coronavirus disease (COVID-19) pandemic has affected over 58.52 million individuals and led to more than 1.38 million deaths worldwide. Second waves of the pandemic are still ongoing in many countries with a massive impact on health care systems and economies.

What are non-pharmaceutical interventions that help control COVID-19?

Globally, nations struggle to effectively control the pandemic while maintaining a balance of public health and socio-economic factors. In the absence of curative therapeutics and preventive vaccines, most efforts focus on 'non-pharmaceutical interventions,' including large-scale movement restrictions or 'lock-downs,' social distancing, increased sanitization of public spaces, wearing masks in public, frequent washing of hands, and increased testing for COVID-19.

Although many countries have implemented non-pharmaceutical interventions to control COVID-19, it is unclear how different control strategies have affected SARS-CoV-2 transmission dynamics in local communities.

The Nordic study analyzing SARS-CoV-2 transmission chains in sampled genomes

The Nordic countries - Denmark, Finland, Norway, Iceland, and Sweden – offer a good example of geographically, socially, and politically related countries whose early COVID-19 control strategies vary significantly. By analyzing the local epidemiological consequences of various control strategies, we can gather key data on the most effective approaches that inhibit virus transmission in communities.

That's precisely what a team of researchers from The University of Melbourne, the Peter Doherty Institute for Infection and Immunity, the University of Sydney, Australia, the Norwegian Institute of Public Health, the University of Oslo, Norway; and the University of Uppsala, Sweden, discuss in their study published on the preprint server medRxiv*.

The researchers conducted a series of analyses on "transmission lineages," that is, transmission chains of sampled genomes, from Nordic countries. The estimated time of emergence of the transmission chains gives data about the onset of community transmission. With the help of complete SARS-CoV-2 genomes, the research team inferred the relative frequencies of importation and exportation of the virus and the virus transmission chain dynamics in Nordic countries during the first 6 months of the pandemic.

Phylogenetic tree of SARS-CoV-2 from Nordic countries as well as global genetic diversity. The tips are coloured according each Nordic country (panel A). Circular migration diagram of migration events between the five Nordic countries and other locations. The size of the coloured arrows denotes the posterior mean number of inferred migration events from the Bayesian phylogeographic analysis. The black arrows represent the migration direction (Panel B).
Phylogenetic tree of SARS-CoV-2 from Nordic countries as well as global genetic diversity. The tips are coloured according each Nordic country (panel A). Circular migration diagram of migration events between the five Nordic countries and other locations. The size of the coloured arrows denotes the posterior mean number of inferred migration events from the Bayesian phylogeographic analysis. The black arrows represent the migration direction (Panel B).

This news article was a review of a preliminary scientific report that had not undergone peer-review at the time of publication. Since its initial publication, the scientific report has now been peer reviewed and accepted for publication in a Scientific Journal. Links to the preliminary and peer-reviewed reports are available in the Sources section at the bottom of this article. View Sources

Sweden has more SARS-CoV-2 transmission chains and enabled viral spread to nearby localities

The analyses showed that Sweden had increased numbers of transmission chains with more cases and longer duration. All these features increased with time. Also, Denmark and Sweden were the net exporters of SARS-CoV-2. Iceland, Norway, and Finland were found to show lower levels of virus exportation.

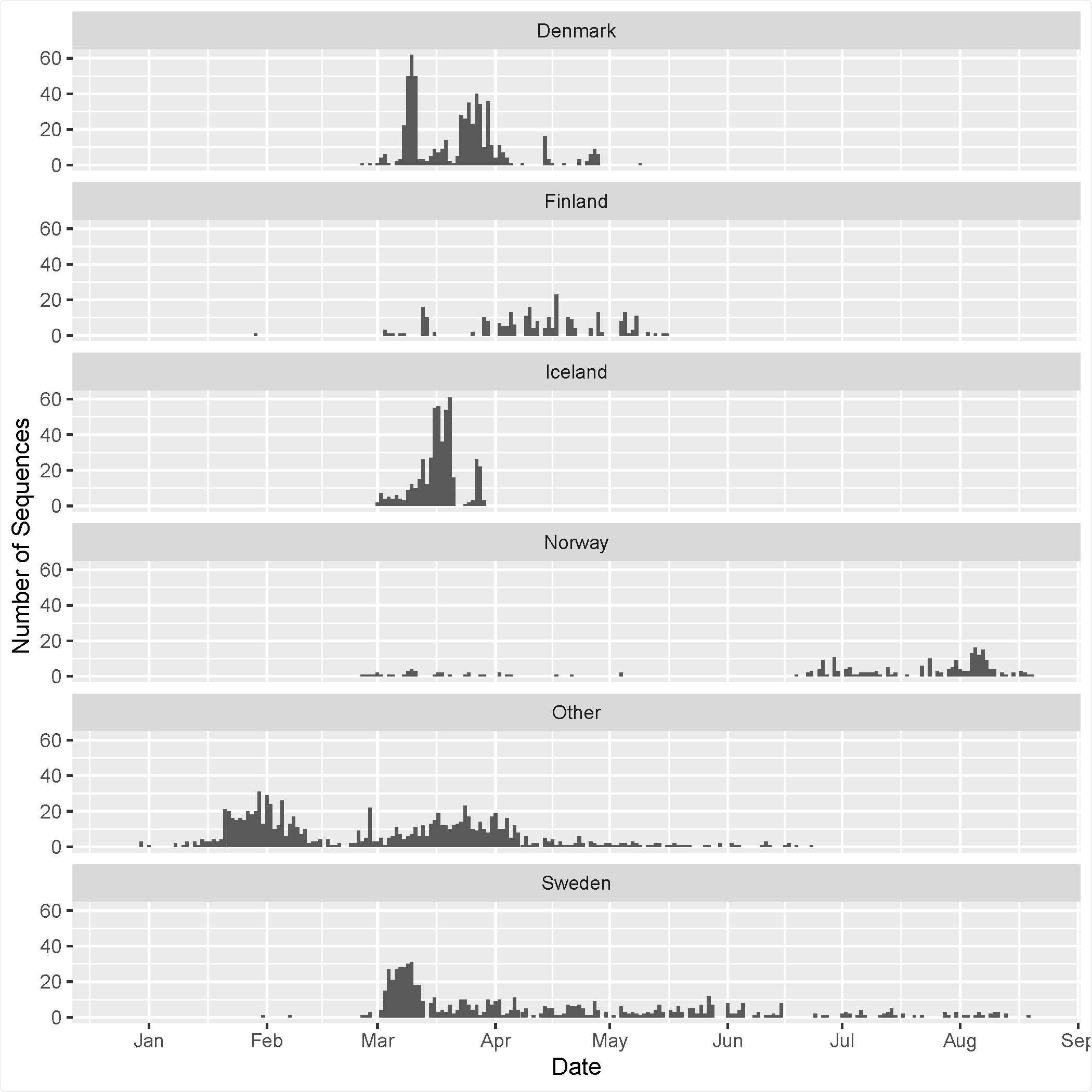
Number of SARS-CoV-2 genomes sampled with time for all Nordic countries and global samples (i.e. ‘other’) included in the final alignment.
Number of SARS-CoV-2 genomes sampled with time for all Nordic countries and global samples (i.e. ‘other’) included in the final alignment.

The analyses also showed that Finland was the primary receiver of the virus exportations from Sweden, suggesting a unidirectional exportation mode between the two countries. This shows that Sweden was an epidemiological and evolutionary 'refugia' that allowed active transmission of the virus and enabled the spread of the virus to surrounding localities. This analysis highlights the significance of genomic surveillance and proves that active transmission chain monitoring is an important metric in the analyses.

"This analysis highlights the utility of genomic surveillance where active transmission chain monitoring is a key metric."

Sustained transmission chains offer increased mutational potential to the virus

A critical and under-addressed issue here is that when transmission chains remain active for a long time, it provides increased opportunity for the virus to adapt to local populations and to evolve and mutate, thus enhancing viral fitness.

In addition to offering increased mutational potential to the virus, sustained transmission chains also offer an epidemiological refuge for the virus to be transported to other places, which agrees with the study results showing Sweden's increased frequency of exportation events among the Nordic countries.

"In addition to providing increased mutational potential, sustained transmission chains also provide epidemiological 'refugia' for the virus to be transmitted to other localities."

According to the authors, interrupting and stopping transmission chains not only helps minimize the spread of the virus within communities but also reduces the chances of accumulation of viral mutations that are beneficial to the sustenance of the virus.

Overall, this study highlights the importance of genomic surveillance and retrospective analyses in understanding the differences in pandemic responses in terms of transmission dynamics. The study's data suggest that monitoring the transmission chain may be a crucial metric in comparing the outcome of outbreak mitigation strategies.

"Overall, our study highlights the utility of continuous genomic surveillance and retrospective studies to compare and understand differences in pandemic responses with respect to transmission dynamics."

This news article was a review of a preliminary scientific report that had not undergone peer-review at the time of publication. Since its initial publication, the scientific report has now been peer reviewed and accepted for publication in a Scientific Journal. Links to the preliminary and peer-reviewed reports are available in the Sources section at the bottom of this article. View Sources

Journal references:

Article Revisions

  • Mar 30 2023 - The preprint preliminary research paper that this article was based upon was accepted for publication in a peer-reviewed Scientific Journal. This article was edited accordingly to include a link to the final peer-reviewed paper, now shown in the sources section.
Susha Cheriyedath

Written by

Susha Cheriyedath

Susha is a scientific communication professional holding a Master's degree in Biochemistry, with expertise in Microbiology, Physiology, Biotechnology, and Nutrition. After a two-year tenure as a lecturer from 2000 to 2002, where she mentored undergraduates studying Biochemistry, she transitioned into editorial roles within scientific publishing. She has accumulated nearly two decades of experience in medical communication, assuming diverse roles in research, writing, editing, and editorial management.

Citations

Please use one of the following formats to cite this article in your essay, paper or report:

  • APA

    Cheriyedath, Susha. (2023, March 30). Researchers investigate SARS-CoV-2 transmission chain dynamics in the Nordic countries. News-Medical. Retrieved on January 20, 2026 from https://intakehealthlab.com/news/20201122/Researchers-investigate-SARS-CoV-2-transmission-chain-dynamics-in-the-Nordic-countries.aspx.

  • MLA

    Cheriyedath, Susha. "Researchers investigate SARS-CoV-2 transmission chain dynamics in the Nordic countries". News-Medical. 20 January 2026. <https://intakehealthlab.com/news/20201122/Researchers-investigate-SARS-CoV-2-transmission-chain-dynamics-in-the-Nordic-countries.aspx>.

  • Chicago

    Cheriyedath, Susha. "Researchers investigate SARS-CoV-2 transmission chain dynamics in the Nordic countries". News-Medical. https://intakehealthlab.com/news/20201122/Researchers-investigate-SARS-CoV-2-transmission-chain-dynamics-in-the-Nordic-countries.aspx. (accessed January 20, 2026).

  • Harvard

    Cheriyedath, Susha. 2023. Researchers investigate SARS-CoV-2 transmission chain dynamics in the Nordic countries. News-Medical, viewed 20 January 2026, https://intakehealthlab.com/news/20201122/Researchers-investigate-SARS-CoV-2-transmission-chain-dynamics-in-the-Nordic-countries.aspx.

Comments

The opinions expressed here are the views of the writer and do not necessarily reflect the views and opinions of News Medical.
Post a new comment
Post

Sign in to keep reading

We're committed to providing free access to quality science. By registering and providing insight into your preferences you're joining a community of over 1m science interested individuals and help us to provide you with insightful content whilst keeping our service free.

or

While we only use edited and approved content for Azthena answers, it may on occasions provide incorrect responses. Please confirm any data provided with the related suppliers or authors. We do not provide medical advice, if you search for medical information you must always consult a medical professional before acting on any information provided.

Your questions, but not your email details will be shared with OpenAI and retained for 30 days in accordance with their privacy principles.

Please do not ask questions that use sensitive or confidential information.

Read the full Terms & Conditions.

You might also like...
Post-COVID smell loss linked to brain changes in key olfactory regions