Favorable clinical outcome for ivermectin in COVID-19 animal model

The coronavirus disease (COVID-19) pandemic, caused by the severe acute respiratory syndrome (SARS-CoV-2), has caused more than 59 million cases globally.

Currently, there is no vaccine or drug approved for the infection. However, doctors and scientists use repurposed medicines to help hospitalized patients recover faster and improve clinical outcomes.

One of the drugs proposed is the anti-parasitic drug ivermectin (IVM).

A team of researchers at the Institut Pasteur in France has found that ivermectin prevented clinical deterioration in infected animals. The drug also reduced the inflammatory cytokines, interleukin-6 and 10 (IL-6 and IL-10) in lung tissue, which leads to more favorable clinical outcomes in treated animals.

What is ivermectin?

Ivermectin is an FDA-approved broad-spectrum anti-parasitic agent. Introduced initially as a veterinary drug, it kills a wide range of internal and external parasites in commercial livestock animals. In recent years, ivermectin has been used to treat various diseases, with its antimicrobial and antiviral properties.

Recently, the use of the drug has been proposed, given its potential anti-SARS-CoV-2 activity.

"Ivermectin is a positive allosteric modulator of the alpha-7 nicotinic acetylcholine receptor, which has been suggested to represent a target for the control of Covid-19 infection, with a potential immunomodulatory activity," the researchers wrote in the paper.

The study

The study, which appeared on the preprint serve bioRxiv*, aimed to investigate the effects of ivermectin alone on SARS-CoV-2 infection using golden Syrian hamsters as models for COVID-19.

The researchers inoculated the animals with SARS-CoV-2, which caused symptomatic infection. The hamsters showed a high incidence of anosmia or the loss of smell and high viral loads in the upper and lower respiratory tracts within four days.

The team also administered a single subcutaneous injection of ivermectin at the time of the infection. They monitored the hamsters for four days. Meanwhile, mock-infected animals received a physiological solution only.

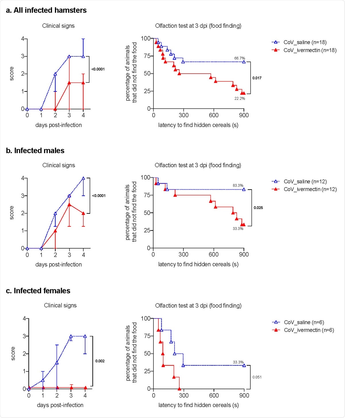
Clinical presentation and olfaction test of SARS-CoV-2-infected hamsters with and without ivermectin treatment. a. clinical signs and olfactory deficit in all infected hamsters. b, clinical signs and olfactory deficit in infected male hamsters only. c, clinical signs and olfactory deficit in infected female hamsters only. The clinical score is based on a cumulative 0-4 scale: ruffled fur; slow movements; apathy; stress when manipulated. The olfaction test is based on the buried food finding test. Curves represent the percentage of animals that did not find the buried food. Food finding assays were performed at 3 days post-infection. Mann-Whitney test at 4 dpi (clinical signs) and Log rank (Mantel-Cox) test (olfaction tests). The p value is indicated in bold when significant at a 0.05 threshold. Symbols indicate the median ± interquartile range. Data were obtained from three independent experiments for males and two independent experiments for females.
Clinical presentation and olfaction test of SARS-CoV-2-infected hamsters with and without ivermectin treatment. a. clinical signs and olfactory deficit in all infected hamsters. b, clinical signs and olfactory deficit in infected male hamsters only. c, clinical signs and olfactory deficit in infected female hamsters only. The clinical score is based on a cumulative 0-4 scale: ruffled fur; slow movements; apathy; stress when manipulated. The olfaction test is based on the buried food finding test. Curves represent the percentage of animals that did not find the buried food. Food finding assays were performed at 3 days post-infection. Mann-Whitney test at 4 dpi (clinical signs) and Log rank (Mantel-Cox) test (olfaction tests). The p value is indicated in bold when significant at a 0.05 threshold. Symbols indicate the median ± interquartile range. Data were obtained from three independent experiments for males and two independent experiments for females.

This news article was a review of a preliminary scientific report that had not undergone peer-review at the time of publication. Since its initial publication, the scientific report has now been peer reviewed and accepted for publication in a Scientific Journal. Links to the preliminary and peer-reviewed reports are available in the Sources section at the bottom of this article. View Sources

Reduced olfactory deficit

The study findings showed that ivermectin-treated and infected animals manifested a reduction in the severity of clinical signs. Interestingly, the animal that received ivermectin had a reduced olfactory deficit.

About 66.7 percent of the mock animals presented with hyposmia or anosmia, compared with just 22.2 percent in those who received ivermectin.

Interleukin-6 and 10 (IL-6 and IL-10) in lung tissue

When the team treated the animals with ivermectin, there were marked differences between sex groups in the nasal turbinates. Female hamsters manifested a down-regulation of some mediators, such as the IL-6 and IL-10, tumor necrosis factor (Tnf-α), and the C-X-C motif chemokine ligand 10 (CXCL10). Meanwhile, men presented an increase in two pro-inflammatory mediators, interferon-gamma (IFNγ) and chemokine ligand 5 (Ccl5).

Moreover, there is a lower expression of Cxcl10, a key mediator involved in respiratory disease and olfaction dysfunction in COVID-19 patients, in the nasal turbinates of animals treated with ivermectin-treated females without marked changes in males.

"These findings are in line with the better performance of IVM-treated females observed in the food finding tests," the researchers explained.

The team found a marked overexpression of interleukin 10 (IL-10) in IVM-treated males and females, which may be tied to a modulation of the lungs' inflammatory response.

Further, the Il-6/Il-10 ratio in the lung in the IVM-treated hamsters was lower than in those who were not given the drug.

"In particular, the low Il-6/Il-10 17 ratio observed in the lung of IVM-treated hamsters may predict their better clinical presentation, as observed in humans, as lower plasmatic IL-6/IL-10 ratios are detected in hospitalized COVID-19 patients who do not require intensive care," the researchers wrote in the study.

The researchers concluded that ivermectin might be considered as a new therapeutic agent against COVID-19. The drug can help improve patients' prognosis as it leads to the modulation of the cytokine gene expressed in the airways.

This news article was a review of a preliminary scientific report that had not undergone peer-review at the time of publication. Since its initial publication, the scientific report has now been peer reviewed and accepted for publication in a Scientific Journal. Links to the preliminary and peer-reviewed reports are available in the Sources section at the bottom of this article. View Sources

Journal references:

Article Revisions

  • Apr 8 2023 - The preprint preliminary research paper that this article was based upon was accepted for publication in a peer-reviewed Scientific Journal. This article was edited accordingly to include a link to the final peer-reviewed paper, now shown in the sources section.
Angela Betsaida B. Laguipo

Written by

Angela Betsaida B. Laguipo

Angela is a nurse by profession and a writer by heart. She graduated with honors (Cum Laude) for her Bachelor of Nursing degree at the University of Baguio, Philippines. She is currently completing her Master's Degree where she specialized in Maternal and Child Nursing and worked as a clinical instructor and educator in the School of Nursing at the University of Baguio.

Citations

Please use one of the following formats to cite this article in your essay, paper or report:

  • APA

    Laguipo, Angela. (2023, April 08). Favorable clinical outcome for ivermectin in COVID-19 animal model. News-Medical. Retrieved on January 18, 2026 from https://intakehealthlab.com/news/20201123/Favorable-clinical-outcome-for-ivermectin-in-COVID-19-animal-model.aspx.

  • MLA

    Laguipo, Angela. "Favorable clinical outcome for ivermectin in COVID-19 animal model". News-Medical. 18 January 2026. <https://intakehealthlab.com/news/20201123/Favorable-clinical-outcome-for-ivermectin-in-COVID-19-animal-model.aspx>.

  • Chicago

    Laguipo, Angela. "Favorable clinical outcome for ivermectin in COVID-19 animal model". News-Medical. https://intakehealthlab.com/news/20201123/Favorable-clinical-outcome-for-ivermectin-in-COVID-19-animal-model.aspx. (accessed January 18, 2026).

  • Harvard

    Laguipo, Angela. 2023. Favorable clinical outcome for ivermectin in COVID-19 animal model. News-Medical, viewed 18 January 2026, https://intakehealthlab.com/news/20201123/Favorable-clinical-outcome-for-ivermectin-in-COVID-19-animal-model.aspx.

Comments

The opinions expressed here are the views of the writer and do not necessarily reflect the views and opinions of News Medical.
Post a new comment
Post

Sign in to keep reading

We're committed to providing free access to quality science. By registering and providing insight into your preferences you're joining a community of over 1m science interested individuals and help us to provide you with insightful content whilst keeping our service free.

or

While we only use edited and approved content for Azthena answers, it may on occasions provide incorrect responses. Please confirm any data provided with the related suppliers or authors. We do not provide medical advice, if you search for medical information you must always consult a medical professional before acting on any information provided.

Your questions, but not your email details will be shared with OpenAI and retained for 30 days in accordance with their privacy principles.

Please do not ask questions that use sensitive or confidential information.

Read the full Terms & Conditions.

You might also like...
Long COVID symptom clusters that could reshape patient care