Children may transmit SARS-CoV-2 at same level as adults, suggests study

Researchers studied severe acute respiratory syndrome coronavirus 2 (SARS-CoV-2) viral loads in over a thousand individuals, including both adults and children. They found the loads to be comparable, suggesting they may play an equal role in coronavirus disease 2019 (COVID-19) transmission.

How children play a role in the spread of COVID-19 is something that is still not very clear. Children seem to be less susceptible to SARS-CoV-2, the pathogen that causes COVID-19, and typically develop mild cases if they become infected.

This news article was a review of a preliminary scientific report that had not undergone peer-review at the time of publication. Since its initial publication, the scientific report has now been peer reviewed and accepted for publication in a Scientific Journal. Links to the preliminary and peer-reviewed reports are available in the Sources section at the bottom of this article. View Sources

Studies have found a correlation between viral RNA loads in the upper respiratory tract (URT) and the probability of obtaining live virus in cell cultures for adults and children. Transmission risk has also been associated with viral loads in primary cases. Hence, URT viral loads could serve as an indicator of virus contagiousness.

However, there is not much information about how the UTR viral loads differ between adults and children, how viral loads change in children with age, and how viral shedding in the URT is different between symptomatic and asymptomatic children. Understanding this will help design better preventive strategies.

Comparing viral loads in children and adults

To answer these questions, researchers from Spain conducted a retrospective study of adults and children who had COVID-19. They published their results in the medRxiv* preprint server.

The authors looked at 1,184 participants who tested positive for SARS-CoV-2 between June 2020 and January 2021, of which 256 were less than 18 years old. Among the participants, 424 were positive but did not need hospitalization and 760 were asymptomatic close contacts of the patients.

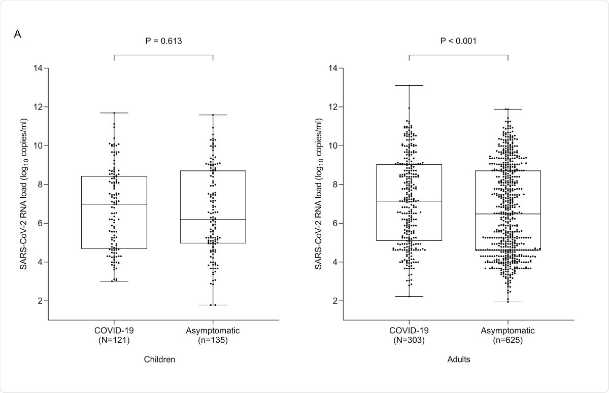
When they studied the initial viral loads between children and adults, they found comparable virus loads in both. Although the viral loads in children tended to be lower, the difference was not statistically significant.

The viral loads were higher in the nose and throat swabs obtained within two days of symptom onset in both adults and children than later samples. Although viral loads in children and adults were comparable in the early samples, viral loads in children were much lower for samples collected later than for adults. This suggests faster virus clearance from the URT in children.

There was no difference in viral loads among the different age groups of children or adults. In addition, the team found that the fraction of nose and throat samples that would lead to infectious virions were similar for adults and children.

The team also tested asymptomatic primary contacts of the symptomatic cases. They found a wide range in the viral loads for both children and adults and were comparable, with no difference depending on different age groups.

While symptomatic children showed a slightly higher viral load than asymptomatic children, in adults, there was a marked increase in viral loads in symptomatic cases than in adults with no symptoms.

Comparison of estimated initial SARS-CoV-2 RNA loads in nasopharyngeal specimens from children (A) and adults (B) either asymptomatic or presenting with COVID-19. Medians are indicated by midlines, the top and bottom edges of boxes represent the interquartile range (IQR). Whiskers indicate the upper and lower values. The number of patients in each group as well as P values for comparisons between groups (median SARS-CoV-2 RNA levels) are shown.
Comparison of estimated initial SARS-CoV-2 RNA loads in nasopharyngeal specimens from children (A) and adults (B) either asymptomatic or presenting with COVID-19. Medians are indicated by midlines, the top and bottom edges of boxes represent the interquartile range (IQR). Whiskers indicate the upper and lower values. The number of patients in each group as well as P values for comparisons between groups (median SARS-CoV-2 RNA levels) are shown.

Children can transmit virus

Other studies previously have also reported that SARS-CoV-2 viral loads in children and adults are similar in the initial days after symptom onset. Although some studies have also reported no difference in viral loads in the different age groups among children, other studies have shown children below five years have lower virus loads. Studies with larger sample sizes may help understand this better.

Furthermore, since there was no difference in the samples potentially yielding infectious virions, it is likely that even asymptomatic children could contribute to virus transmission as much as adults.

When viral loads are compared in symptomatic and asymptomatic adults, previous studies have found the loads to be overlapping. However, in this study, the authors found that symptomatic patients had much higher viral loads. But, there was no difference when the samples were taken immediately after symptom onset, suggesting the timing of sample collection matters.

Since commercially available SAR-CoV-2 tests do not allow studying sample cellularity, the researchers compared randomly selected samples to assess cellular content via a parallel RT-PCR and housekeeping gene set. The results suggested differences in cellularity did not have an impact on the results.

The authors note a few limitations of the study. They were not able to determine the clinical outcome, determined by peak viral loads, in a lot of asymptomatic patients. Since only initial viral loads were used, individual-level virus replication rate was not captured.

In conclusion, the authors write, “Our findings indicate that children may spread SARS-CoV-2 in the general population at the same level as adults.” This understanding may help design better preventive strategies.

This news article was a review of a preliminary scientific report that had not undergone peer-review at the time of publication. Since its initial publication, the scientific report has now been peer reviewed and accepted for publication in a Scientific Journal. Links to the preliminary and peer-reviewed reports are available in the Sources section at the bottom of this article. View Sources

Journal references:

Article Revisions

  • Apr 6 2023 - The preprint preliminary research paper that this article was based upon was accepted for publication in a peer-reviewed Scientific Journal. This article was edited accordingly to include a link to the final peer-reviewed paper, now shown in the sources section.
Lakshmi Supriya

Written by

Lakshmi Supriya

Lakshmi Supriya got her BSc in Industrial Chemistry from IIT Kharagpur (India) and a Ph.D. in Polymer Science and Engineering from Virginia Tech (USA).

Citations

Please use one of the following formats to cite this article in your essay, paper or report:

  • APA

    Supriya, Lakshmi. (2023, April 06). Children may transmit SARS-CoV-2 at same level as adults, suggests study. News-Medical. Retrieved on January 17, 2026 from https://intakehealthlab.com/news/20210305/Children-may-transmit-SARS-CoV-2-at-same-level-as-adults-suggests-study.aspx.

  • MLA

    Supriya, Lakshmi. "Children may transmit SARS-CoV-2 at same level as adults, suggests study". News-Medical. 17 January 2026. <https://intakehealthlab.com/news/20210305/Children-may-transmit-SARS-CoV-2-at-same-level-as-adults-suggests-study.aspx>.

  • Chicago

    Supriya, Lakshmi. "Children may transmit SARS-CoV-2 at same level as adults, suggests study". News-Medical. https://intakehealthlab.com/news/20210305/Children-may-transmit-SARS-CoV-2-at-same-level-as-adults-suggests-study.aspx. (accessed January 17, 2026).

  • Harvard

    Supriya, Lakshmi. 2023. Children may transmit SARS-CoV-2 at same level as adults, suggests study. News-Medical, viewed 17 January 2026, https://intakehealthlab.com/news/20210305/Children-may-transmit-SARS-CoV-2-at-same-level-as-adults-suggests-study.aspx.

Comments

The opinions expressed here are the views of the writer and do not necessarily reflect the views and opinions of News Medical.
Post a new comment
Post

Sign in to keep reading

We're committed to providing free access to quality science. By registering and providing insight into your preferences you're joining a community of over 1m science interested individuals and help us to provide you with insightful content whilst keeping our service free.

or

While we only use edited and approved content for Azthena answers, it may on occasions provide incorrect responses. Please confirm any data provided with the related suppliers or authors. We do not provide medical advice, if you search for medical information you must always consult a medical professional before acting on any information provided.

Your questions, but not your email details will be shared with OpenAI and retained for 30 days in accordance with their privacy principles.

Please do not ask questions that use sensitive or confidential information.

Read the full Terms & Conditions.

You might also like...
COVID-19 immunity stays specific and barely boosts protection against common cold coronaviruses