SARS-CoV-2 vaccines from Pfizer-BioNTech and AstraZeneca reduce mortality among the elderly

Researchers in the UK have demonstrated the efficacy of the Pfizer-BioNTech and AstraZeneca vaccines against severe acute respiratory virus coronavirus 2 (SARS-CoV-2) at preventing death among older individuals with coronavirus disease 2019 (COVID-19).

*Important notice: medRxiv publishes preliminary scientific reports that are not peer-reviewed and, therefore, should not be regarded as conclusive, guide clinical practice/health-related behavior, or treated as established information.

The analysis of more than 48,000 individuals, aged 70 years and older, found that COVID-19 cases who had been vaccinated with one dose of Pfizer-BioNTech’s BNT162b2 vaccine were at a 44% reduced risk of death, compared with unvaccinated individuals, while those vaccinated with one dose of AstraZeneca’s ChAdOx1 vaccine were at a 55% reduced risk.

The team from Public Health England in London also found that among cases that had received two doses of BNT162b2, the mortality risk was reduced by 69%, compared with unvaccinated individuals.

The researchers say the study is the first to estimate the effectiveness of ChAdOx1 at preventing mortality and that a single dose offered a similar level of protection as one dose of BNT162b2.

“We found that confirmed cases of COVID-19 who had been vaccinated with either a single dose of BNT162b2 or a single dose of ChAdOx1 had a significantly reduced risk of dying compared to unvaccinated cases,” writes Jamie Lopez and colleagues.

However, the second dose of BNT162b2 offered yet further protection highlights the importance of completing the full two-dose regimen adds the team.

A pre-print version of the research paper is available on the medRxiv* severer, while the article undergoes peer review.

Evidence on vaccine efficacy in preventing mortality is limited

Studies of the real-world effectiveness of vaccines against SARS-CoV-2 have reported high levels of protection against both symptomatic COVID-19 and asymptomatic disease.

However, evidence on the effectiveness against the most severe outcome – mortality – is currently limited and has not yet been reported for most vaccines, says Lopez and colleagues.

The UK was the first country to implement a COVID-19 vaccination program. This began with the administration of Pfizer-BioNTech’s BNT162b2 vaccine in December 2020 and was soon followed by the rollout of the Oxford-AstraZeneca’s ChAdOx1 vaccine, starting in March 2021.

Older adults, care home residents, and health and social care workers were the first to be prioritized for vaccination, with subsequent rollout to increasingly younger age groups and clinical risk groups at later stages.

Early on in the vaccination program, policy-makers decided that the interval time between the two vaccine doses should be extended from 3 to 12 weeks, so as to maximize the number of high-risk individuals who could be offered the first dose.

“Early data suggested that a single dose of BNT162b2 was 80-85% effective at preventing mortality in individuals aged over 80 years,” writes Lopez and colleagues. “However, the effectiveness of ChAdOx1 against mortality has not yet been reported.”

What did the researchers do?

In England, a community COVID-19 testing program is available to people reporting symptoms (such as high temperature and continuous cough), care home residents and staff, and those participating in local or national asymptomatic testing.

Lopez and colleagues linked all new symptomatic cases that were positive for SARS-CoV-2 infection by polymerase chain reaction (PCR) to mortality data from National Health Service (NHS) records.

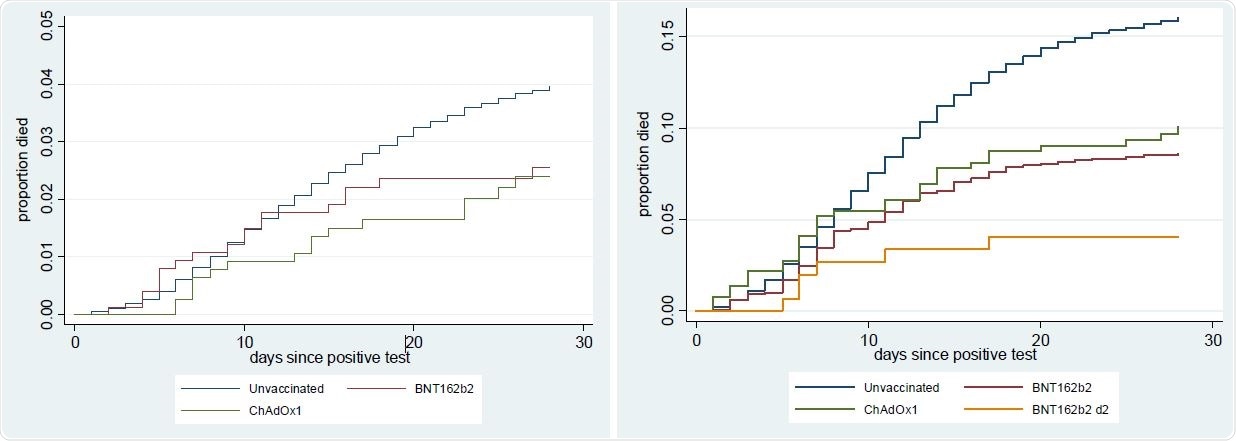
Proportion died by vaccination status (a) 70-79 year olds (b) 80+ year olds
Proportion died by vaccination status (a) 70-79 year olds (b) 80+ year olds

Data on testing and mortality between the 8th of December (when vaccination rollout began) and the 17th of April were extracted, and survival analysis was conducted to estimate the risk of death within 28 days of a positive PCR test.

The mortality risk was assessed among 48,096 individuals aged 70 years and older who had COVID-19. Of these COVID-19 cases, 79.1% were unvaccinated, 12.7% had been vaccinated with BNT162b2, and 8.2% had been vaccinated with ChAdOx1.

What did the study find?

Among individuals aged 80 years and older who had at least 28 days of follow-up data available, 16.1% of unvaccinated individuals died, compared with 9.2% among those vaccinated with one dose of BNT162b2, 11.3% of those vaccinated with one dose of ChAdOx1, and 4.7% of those vaccinated with two doses of BNT162b2.

Among those aged 70-79 years with at least 28 days of follow-up data, 4.0% of unvaccinated individuals died, compared with 2.7% of those who received one dose of BNT162b2, 2.1% of those vaccinated with one dose of ChAdOx1, and 0.0% of those vaccinated with two doses of BNT162b.

None of the individuals had 28 days of follow-up data available after two doses of ChAdOx1 due to the later rollout of this vaccine.

The survival analysis estimated that individuals vaccinated with one dose of BNT162b2 were 44% less likely to die from COVID-19 than unvaccinated individuals, while those vaccinated with one dose of  ChAdOx1 were 55% less likely to die and those vaccinated with two doses of BNT162b2 were 69% less likely to die.

What did the authors conclude?

The researchers say the findings provide strong evidence that both the BNT162b2 and ChAdOx1 vaccines offer high levels of protection against COVID-19 mortality after a single dose.

This finding supports prioritizing the first dose in at-risk groups in the context of high disease incidence and vaccine supply or delivery constraints, they add.

“Nevertheless, a second dose of BNT162b2 offers yet further protection against mortality, highlighting the importance of completing the course,” concludes the team.

*Important notice: medRxiv publishes preliminary scientific reports that are not peer-reviewed and, therefore, should not be regarded as conclusive, guide clinical practice/health-related behavior, or treated as established information.

Journal reference:
Sally Robertson

Written by

Sally Robertson

Sally first developed an interest in medical communications when she took on the role of Journal Development Editor for BioMed Central (BMC), after having graduated with a degree in biomedical science from Greenwich University.

Citations

Please use one of the following formats to cite this article in your essay, paper or report:

  • APA

    Robertson, Sally. (2021, May 20). SARS-CoV-2 vaccines from Pfizer-BioNTech and AstraZeneca reduce mortality among the elderly. News-Medical. Retrieved on January 17, 2026 from https://intakehealthlab.com/news/20210520/SARS-CoV-2-vaccines-from-Pfizer-BioNTech-and-AstraZeneca-reduce-mortality-among-the-elderly.aspx.

  • MLA

    Robertson, Sally. "SARS-CoV-2 vaccines from Pfizer-BioNTech and AstraZeneca reduce mortality among the elderly". News-Medical. 17 January 2026. <https://intakehealthlab.com/news/20210520/SARS-CoV-2-vaccines-from-Pfizer-BioNTech-and-AstraZeneca-reduce-mortality-among-the-elderly.aspx>.

  • Chicago

    Robertson, Sally. "SARS-CoV-2 vaccines from Pfizer-BioNTech and AstraZeneca reduce mortality among the elderly". News-Medical. https://intakehealthlab.com/news/20210520/SARS-CoV-2-vaccines-from-Pfizer-BioNTech-and-AstraZeneca-reduce-mortality-among-the-elderly.aspx. (accessed January 17, 2026).

  • Harvard

    Robertson, Sally. 2021. SARS-CoV-2 vaccines from Pfizer-BioNTech and AstraZeneca reduce mortality among the elderly. News-Medical, viewed 17 January 2026, https://intakehealthlab.com/news/20210520/SARS-CoV-2-vaccines-from-Pfizer-BioNTech-and-AstraZeneca-reduce-mortality-among-the-elderly.aspx.

Comments

The opinions expressed here are the views of the writer and do not necessarily reflect the views and opinions of News Medical.
Post a new comment
Post

Sign in to keep reading

We're committed to providing free access to quality science. By registering and providing insight into your preferences you're joining a community of over 1m science interested individuals and help us to provide you with insightful content whilst keeping our service free.

or

While we only use edited and approved content for Azthena answers, it may on occasions provide incorrect responses. Please confirm any data provided with the related suppliers or authors. We do not provide medical advice, if you search for medical information you must always consult a medical professional before acting on any information provided.

Your questions, but not your email details will be shared with OpenAI and retained for 30 days in accordance with their privacy principles.

Please do not ask questions that use sensitive or confidential information.

Read the full Terms & Conditions.

You might also like...
Cancer mortality drops 34% as treatments and early detection improve