Is B.1.617.2 more transmissible than earlier SARS-CoV-2 variants?

Even as vaccines continue to be rolled out in countries all over the world, in an attempt to contain the relentless march of the severe acute respiratory syndrome coronavirus 2 (SARS-CoV-2), new variants continue to emerge. Some of these have been named variants of concern (VOCs) as they show evidence of being more transmissible (that is, infecting a greater number of people per infected primary case) or of more resistance to neutralization by pre-existing antibodies induced by natural infection or by vaccination.

Study: Serial intervals observed in SARS-CoV-2 B.1.617.2 variant cases. Image Credit: joshimerbin / Shutterstock
Study: Serial intervals observed in SARS-CoV-2 B.1.617.2 variant cases. Image Credit: joshimerbin / Shutterstock

This news article was a review of a preliminary scientific report that had not undergone peer-review at the time of publication. Since its initial publication, the scientific report has now been peer reviewed and accepted for publication in a Scientific Journal. Links to the preliminary and peer-reviewed reports are available in the Sources section at the bottom of this article. View Sources

A new study, released as a preprint on the medRxiv* server, reports that the B.1.617.2 variant is possibly more transmissible than earlier variants, based on the discovery that the serial intervals were not prolonged with this strain.

The rise of B.1.617.2

The researchers examined a series of cases in Singapore, all caused by the relatively new B.1.617.2 variant that has been observed in multiple global locations. The rapid increase in the proportion of new cases caused by this strain may be due to the shortening of the generation intervals, that is, the delay between one infection and a secondary infection.

Alternatively, the rapid spread might have been due to higher transmissibility, reflected in a higher effective reproduction number (or R number). Both may be in simultaneous operation.

The current study involved paired primary-secondary cases to determine the serial interval – the period from the onset of the primary to the onset of the secondary case. This analysis is important to distinguish the reasons for the rapid spread of a new variant.

In Singapore, genomic sequencing is carried out on all samples from the respiratory tract of coronavirus disease 2019 (COVID-19) patients who have tested positive for the virus by polymerase chain reaction (PCR) with a cycle threshold of 30 or less. This process led to the first identification of the B.1.617.2 variant in this country at the end of April 2021.

Even as strict mask use and social distancing continued to be implemented in the country, the new strain continued to pop up in infection clusters, some of which ballooned rapidly within a very short time.

Setting up cases and controls

To measure the serial intervals, the current study focused on the serial interval, which is a useful substitute for the generation interval, in 32 same-household primary-secondary case pairs. All such cases were reviewed to ensure that they were 1) infected by the B.1.617.2 variant (28/32 pairs), or 2) were picked up in the interval between April 27 to May 22, 2021, and were either not yet sequenced or could not be sequenced.

This period was selected because 97% of the samples sequenced during this time in this region were infected with the B.1.617.2 variant. To obtain accurate estimates, all secondary infections which had been exposed to multiple primary cases within the household were excluded. So were secondary cases outside the same household and secondary cases within the same household if they had different dates of onset.

These were matched with 63 primary-secondary household pairs in Singapore that occurred before the partial lockdown. All the primary cases had similar onset-to-isolation intervals as the primary cases in the test cohort, that is, a median of three days.

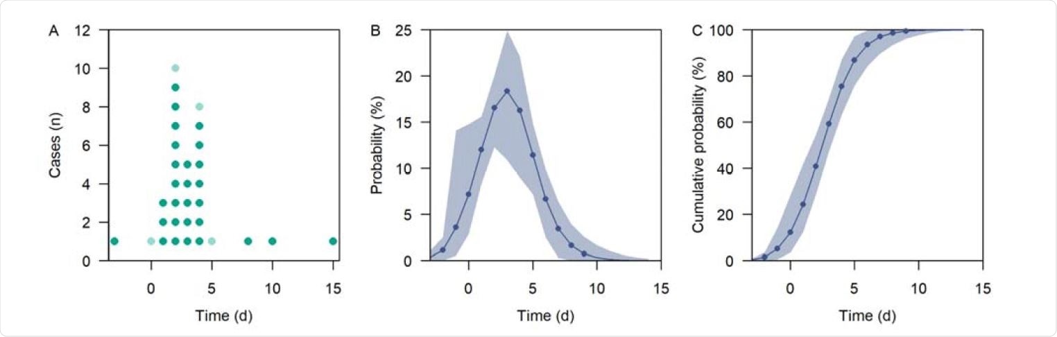
Serial interval of household transmission pairs. (a) B.1.617.2 cases (green) or cases identified between Apr 27 to May 22, 2021 and whose samples were yet to be sequenced (light green), (b) probability density function of serial interval of cases identified prior to the partial lockdown in Apr 7, 2020, (c) cumulative density function (b). Majority of the primary cases had known exposure(s) outside the household and secondary cases do not have the same exposure as the primary case thereby allowing us to identify the directionality of infection. Negative serial intervals, which signifies pre-symptomatic transmission are also included in the analysis.
Serial interval of household transmission pairs. (a) B.1.617.2 cases (green) or cases identified between Apr 27 to May 22, 2021 and whose samples were yet to be sequenced (light green), (b) probability density function of serial interval of cases identified prior to the partial lockdown in Apr 7, 2020, (c) cumulative density function (b). Majority of the primary cases had known exposure(s) outside the household and secondary cases do not have the same exposure as the primary case thereby allowing us to identify the directionality of infection. Negative serial intervals, which signifies pre-symptomatic transmission are also included in the analysis.

The serial intervals for these pairs were calculated, and the mean serial interval was estimated by repeating the process a thousand times. This allowed them to arrive at a range of serial intervals for the earlier variants, but with the same onset-to-isolation interval as the new variant.

Findings and implications

The scientists found that the mode of the serial interval was 2.8 days for the pre-lockdown cases, but 2 days for the test cohort. This suggests that the serial interval did not change significantly with the newer variant.

This lends support to the hypothesis that the recent rapid growth is potentially driven by an increase in the average number of secondary cases generated by a case infected with the B.1.617.2 variant,” writes the team.

This type of study is essential in understanding the factors that underlie the rapid rise of the B.1.617.2 variant. In the absence of any evidence of reduced virulence in the case of this strain, but with a higher R value, it appears that stringent testing, contact tracing and isolation will continue to play a central role in containing the spread of the virus in the near future.

This news article was a review of a preliminary scientific report that had not undergone peer-review at the time of publication. Since its initial publication, the scientific report has now been peer reviewed and accepted for publication in a Scientific Journal. Links to the preliminary and peer-reviewed reports are available in the Sources section at the bottom of this article. View Sources

Journal references:

Article Revisions

  • Apr 10 2023 - The preprint preliminary research paper that this article was based upon was accepted for publication in a peer-reviewed Scientific Journal. This article was edited accordingly to include a link to the final peer-reviewed paper, now shown in the sources section.
Dr. Liji Thomas

Written by

Dr. Liji Thomas

Dr. Liji Thomas is an OB-GYN, who graduated from the Government Medical College, University of Calicut, Kerala, in 2001. Liji practiced as a full-time consultant in obstetrics/gynecology in a private hospital for a few years following her graduation. She has counseled hundreds of patients facing issues from pregnancy-related problems and infertility, and has been in charge of over 2,000 deliveries, striving always to achieve a normal delivery rather than operative.

Citations

Please use one of the following formats to cite this article in your essay, paper or report:

  • APA

    Thomas, Liji. (2023, April 10). Is B.1.617.2 more transmissible than earlier SARS-CoV-2 variants?. News-Medical. Retrieved on January 23, 2026 from https://intakehealthlab.com/news/20210610/Is-B16172-more-transmissible-than-earlier-SARS-CoV-2-variants.aspx.

  • MLA

    Thomas, Liji. "Is B.1.617.2 more transmissible than earlier SARS-CoV-2 variants?". News-Medical. 23 January 2026. <https://intakehealthlab.com/news/20210610/Is-B16172-more-transmissible-than-earlier-SARS-CoV-2-variants.aspx>.

  • Chicago

    Thomas, Liji. "Is B.1.617.2 more transmissible than earlier SARS-CoV-2 variants?". News-Medical. https://intakehealthlab.com/news/20210610/Is-B16172-more-transmissible-than-earlier-SARS-CoV-2-variants.aspx. (accessed January 23, 2026).

  • Harvard

    Thomas, Liji. 2023. Is B.1.617.2 more transmissible than earlier SARS-CoV-2 variants?. News-Medical, viewed 23 January 2026, https://intakehealthlab.com/news/20210610/Is-B16172-more-transmissible-than-earlier-SARS-CoV-2-variants.aspx.

Comments

The opinions expressed here are the views of the writer and do not necessarily reflect the views and opinions of News Medical.
Post a new comment
Post

Sign in to keep reading

We're committed to providing free access to quality science. By registering and providing insight into your preferences you're joining a community of over 1m science interested individuals and help us to provide you with insightful content whilst keeping our service free.

or

While we only use edited and approved content for Azthena answers, it may on occasions provide incorrect responses. Please confirm any data provided with the related suppliers or authors. We do not provide medical advice, if you search for medical information you must always consult a medical professional before acting on any information provided.

Your questions, but not your email details will be shared with OpenAI and retained for 30 days in accordance with their privacy principles.

Please do not ask questions that use sensitive or confidential information.

Read the full Terms & Conditions.