A major factor contributing to the ongoing pandemic of severe acute respiratory coronavirus 2 (SARS-CoV-2) has been the emergence of new variants. Because the mutations of the original virus make variants more transmissible, there is more potential for the contagion to spread through social mixing due to the easing of lockdown.
The Delta variant (B.1.617.2) was first identified in India at the end of April 2021 and has since been the variant that has steadily started to replace the UK Alpha variant (B.1.1.7). This subsequently resulted in a delay of the final stage of easing lockdown within the UK, which consisted of another four weeks from the original release date of 21st June, to the new date of 19th July.
A large group of UK-based researchers contributed to a study investigating the results of the REal-time Assessment of Community Transmission-1 study (REACT-1) involving a random sample of the population of England.
A pre-print version of the paper is available on the medRxiv* server, while the article undergoes peer review.
REACT-1 study
The REACT-1 assessment involved inviting the participants to take part in the study and provide a nose and throat swab in order for RT-PCR tests for the SARS-CoV-2 virus.
The participants were also asked to complete a questionnaire online, and due to this study taking place for 12 rounds, the 12th round results were compared to the results from the 11th round results. The 11th round of tests were collected from 15th April to 3rd May 2021 and the 12th round of tests were obtained between 20th May 2021 and 7th June 2021.
The results of the 12th round consisted of 135 positive PCR tests for the virus from a sample of 108,911 valid swabs that were provided. This subsequently provided an overall prevalence of 0.15% compared to 0.10%, which seen in the 11th round of testing. This illustrates the increase in positive testing for the virus, which occurred between the 11th and 12th rounds.
The researchers had used constant growth rate models in order to analyze these results and found that there was substantial evidence to suggest a recent increase in R to 1.44 with an estimated doubling time of 11 days during the 12th round of testing. The possible turning point for this rise of positive tests was found to be approximately 13th May, as after this time point, the prevalence of these positive PCR tests from the swabs had increased.
Prevalence of national swab-positivity for England estimated using a P-spline for all twelve rounds with central 50% (dark grey) and 95% (light grey) posterior credible intervals. Shown here for the entire period of the study with a log10 y-axis. Weighted observations (black dots) and 95% binomial confidence intervals (vertical lines) are also shown. Note that the period between round 7 and round 8 (December) of the model is not included as there were no data available to capture the late December peak of the epidemic.

This news article was a review of a preliminary scientific report that had not undergone peer-review at the time of publication. Since its initial publication, the scientific report has now been peer reviewed and accepted for publication in a Scientific Journal. Links to the preliminary and peer-reviewed reports are available in the Sources section at the bottom of this article. View Sources
The replacement of the Alpha UK variant by the Delta Indian variant was observed by the researchers between 15th April to 7th June, which was across the 11th and 12th rounds of testing for the study. During the 12th round, the Delta variant was identified in more positive tests, from approximately 60% to 90%. This variant was only detected in London in two swab samples within the population during round 11. However, the prevalence of this variant increased to the point of being the sole lineage of the virus detected in many UK areas, such as North West, East Midlands, South East and London.
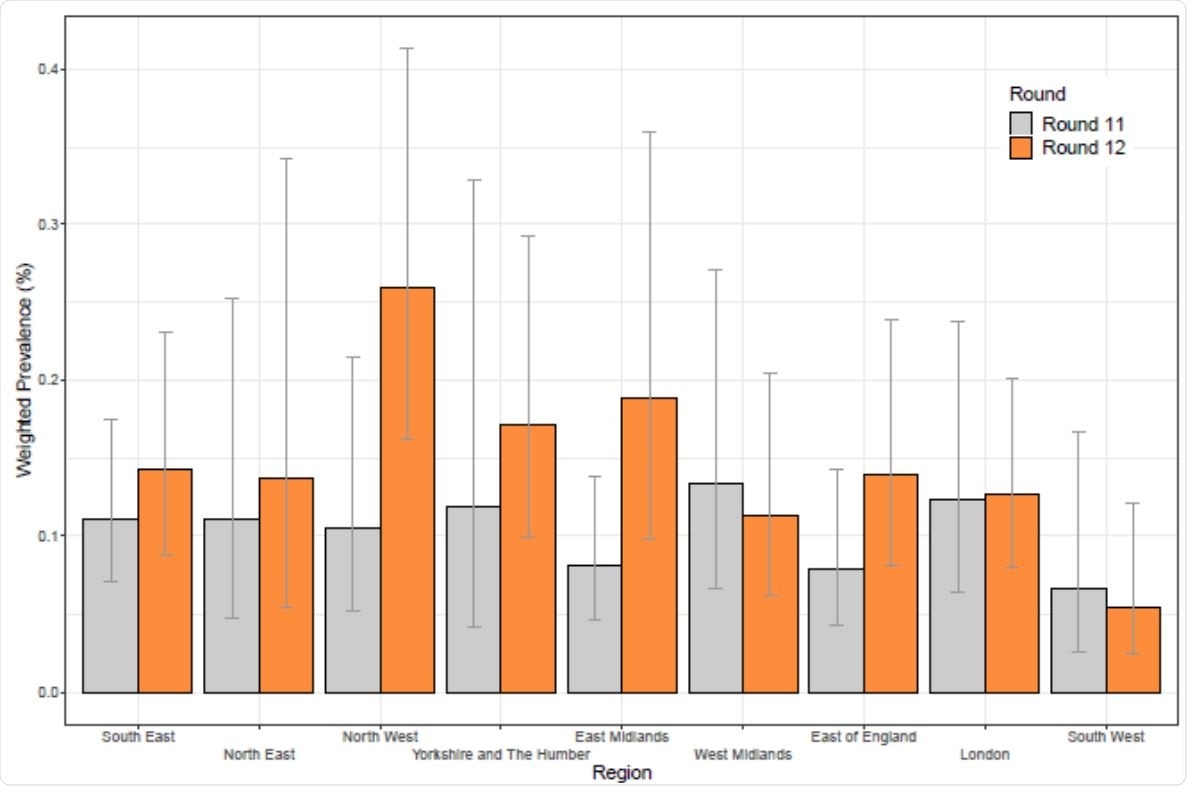
Weighted prevalence of swab-positivity by region for rounds 11 and 12. Bars show 95% confidence intervals.
Prevalence factors
The prevalence of these Delta variant-related positive tests was found to be within the younger age groups, such as from 5-12-years-old, as well as being found in young adults, 18-24 years old. This variant was predominantly found in younger ages compared to those aged 65-years-old or higher, with a 2.5-fold higher rate found in populations below 50-years-old.
Geographical distribution of swab-positives in round 12. A Jittered location of all 135 positive samples detected. B Neighbourhood smoothed average prevalence by lower-tier local area. Neighborhood prevalence calculated from nearest neighbors (the median number of neighbors within 20 km in the study). Average neighborhood prevalence displayed for individual lower-tier local authorities. Regions: NE = North East, NW = North West, YH = Yorkshire and The Humber, EM = East Midlands, WM = West Midlands, EE = East of England, L = London, SE = South East, SW = South West.
This increase could reflect the social nature of the younger populations, from school, jobs, to extracurricular social mixing due to the ease of lockdown, which allowed six people from different households to gather at a time.
The older populations were the priority to be vaccinated and are more likely to spend longer time indoors. However, due to the vaccinations now being available and provided to the ages of 18-years and older, the spread and effect of the Delta variant may decrease.
An extremely significant risk factor in the spread of the SARS-CoV-2 variant consists of areas of deprivation, with there being an approximately 2-fold increase in swab-positivity of participants within deprived areas when compared to non-deprived areas.
This risk is due to an amalgamation of various factors such as working conditions, housing, overcrowding as well as having access to available outdoor areas.
These factors are essential in the spread of the virus and reflect the results of the REACT-1 study; deprived areas are always the most sensitive target for infectious diseases and this can prevent the progress out of this pandemic, as well as in preventing future pandemics.
The REACT-1 study has reported the exponential growth in the Delta variant found in the UK within positive tests from participants across England, and younger populations may have mainly propagated this. In order to progress out of the pandemic and overcome the challenge that is presented by the Delta variant, younger populations require monitoring, and with the vaccine roll-out, along with further research into monitoring SARS-CoV-2, the infection rates can hopefully be reduced across the UK.

This news article was a review of a preliminary scientific report that had not undergone peer-review at the time of publication. Since its initial publication, the scientific report has now been peer reviewed and accepted for publication in a Scientific Journal. Links to the preliminary and peer-reviewed reports are available in the Sources section at the bottom of this article. View Sources
Journal references:
- Preliminary scientific report.
Riley, S., Walters, C., Wang, H., Eales, O., Haw, D., Ainslie, K., Atchinson, C., Fronterre, C., Diggle, P., Page, A., Prosolek, S., Trotter, A., Thanh, L., Alikhan, N., Jackson, L., Ludden, C., Ashby, D., Donnelly, C., Cooke, G., Barclay, W., Ward, H., Darzi, A. and Elliott, P., 2021. REACT-1 round 12 report: resurgence of SARS-CoV-2 infections in England associated with increased frequency of the Delta variant, https://doi.org/10.1101/2021.06.17.21259103, https://www.medrxiv.org/content/10.1101/2021.06.17.21259103v1
- Peer reviewed and published scientific report.
Eales, Oliver, Haowei Wang, David Haw, Kylie E. C. Ainslie, Caroline E. Walters, Christina Atchison, Graham Cooke, et al. 2022. “Trends in SARS-CoV-2 Infection Prevalence during England’s Roadmap out of Lockdown, January to July 2021.” Edited by Benjamin Althouse. PLOS Computational Biology 18 (11): e1010724. https://doi.org/10.1371/journal.pcbi.1010724. https://journals.plos.org/ploscompbiol/article?id=10.1371/journal.pcbi.1010724.