Risk of venous thrombosis is higher in SARS-CoV-2 infection than vaccination

A population-based study conducted in Spain has revealed that both adenovirus vector-based and messenger ribonucleic acid (mRNA)-based coronavirus disease 2019 (COVID-19) vaccines are associated with an increased risk of venous thromboembolism (VTE) and thrombocytopenia (TCP). Moreover, the authors of this study highlight that the risk is relatively higher in men than women. The study is currently available on the medRxiv* preprint server.

Study: Vaccines against Covid-19, venous thromboembolism, and thrombocytopenia. A population-based retrospective cohort study. Image Credit: Tum ZzzzZ / Shutterstock.com

*Important notice: medRxiv publishes preliminary scientific reports that are not peer-reviewed and, therefore, should not be regarded as conclusive, guide clinical practice/health-related behavior, or treated as established information.

Background

Soon after deployment of the adenovirus-based COVID-19 vaccine developed by Oxford/AstraZeneca, a number of cases with thrombosis and TCP were reported among vaccine recipients from several countries. Based on the European Medicines Agency (EMA) report, the estimated risk of cerebral venous thrombosis associated with the AstraZeneca vaccine is 1 in 200,000 doses. Recently, the EMA has also identified some thromboembolic events in individuals who have received mRNA-based COVID-19 vaccines developed by Pfizer/BioNTech and Moderna.

Several recent studies have revealed that the risk of cerebral venous sinus thrombosis is 10-times higher in COVID-19 patients than in individuals immunized with mRNA vaccines. Surprisingly, some studies have claimed that mRNA vaccines (Pfizer and Moderna) are associated with a 10-fold higher risk of cerebral venous sinus thrombosis as compared to the AstraZeneca vaccine.

In the current study, the scientists have estimated the event rates of VTE, TCP, and VTE associated with TCP in partially or fully vaccinated individuals and COVID-19 patients. Specifically, the authors of this study have compared these event rates with corresponding reference rates in the same population using age and sex as covariates.

Study design

The study was conducted on three groups of individuals. In the first group, 662,719 individuals aged 10 years and above who received the 1st dose of AstraZeneca, Pfizer, or Moderna vaccines, were enrolled. Comparatively, the second group consisted of 622,778 individuals who received the 2nd dose of the Pfizer or Moderna vaccine.

In the third group, 190,616 patients with confirmed COVID-19 were included. As a reference group, a total of 7,013,040 individuals from the same population were analyzed.

The scientists estimated the event rates of various clinical forms of VTE and TCP, including cerebral venous sinus thrombosis, mesenteric thrombosis, portal vein thrombosis, or any VTE associated with TCP. They specifically focused on clinical events that occurred within 21 days following vaccination or COVID-19 diagnosis.  

Important observations

The annual event rate of unusual site VTE, which includes cerebral venous sinus thrombosis, mesenteric thrombosis, and portal vein thrombosis, or VTE associated with TCP, in the reference population was estimated to be 2.15 per 100,000 individuals. The reference event rate of all tested clinical conditions increased with age and was higher in men than women. The event rates of unusual site VTE or VTE associated with TCP were estimated to be 5·65 and 7.23 per 100,000 doses in the first and second groups of this study, respectively.

Taken together, these observations revealed that the 1st dose of the COVID-19 vaccines was associated with an excess event rate of 2.5 cases per 100,000 for any VTE and VTE associated with TCP. Similarly, the 2nd dose of mRNA vaccines was associated with an excess event rate of 4 cases per 100,000 for any VTE and VTE associated with TCP.

In cases of mRNA vaccines, no significant difference in event rates was observed between the 1st and 2nd doses. However, the study could not differentiate between two doses of the AstraZeneca vaccine because of a lack of information.

In contrast to the vaccine groups, the event rate of unusual site VTE or VTE associated with TCP was estimated to be 32.53 per 100,000 patients in the COVID-19 group.

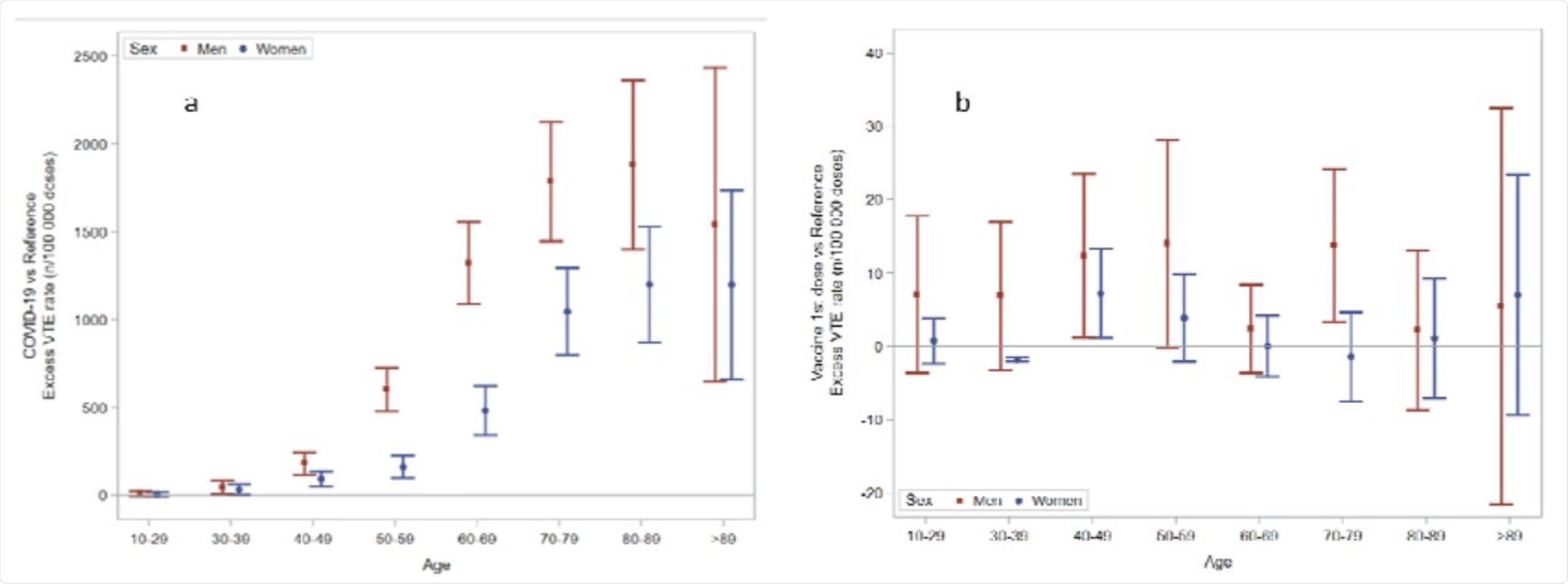
Regarding age and sex-related differences, the event rates of all tested clinical conditions were almost 2-fold higher in men than in women in both vaccine and COVID-19 groups. However, no significant correlation between age and event rate was observed among vaccinated individuals. In contrast, an increase in the event rate of VTE with age was observed among COVID-19 patients.

Excess rate of any venous thromboembolism by age and sex groups, in the Covid-19 cohort (a) and following the first dose of Covid-19 vaccines (b). The scale of the ordinal axis differs by 50-fold.

Regarding vaccine-related differences, a significantly higher event rate of VTE was observed in individuals who received the Moderna vaccine than those who received the Pfizer vaccine. However, this rate was significantly lower in individuals who received the AstraZeneca vaccine.

Regarding event-related mortality, about 19% of individuals who developed unusual site VTE or VTE associated with TCP after vaccination died during the study period. Moreover, death occurred in 15% of individuals who developed VTE and TCP after vaccination.   

Study significance

The study reveals that although COVID-19 vaccines are associated with an increased incidence rate of VTE events and TCP, the risk of these clinical events is significantly higher among COVID-19 patients. Moreover, men are more susceptible to thrombosis and/or TCP than women following vaccination.

*Important notice: medRxiv publishes preliminary scientific reports that are not peer-reviewed and, therefore, should not be regarded as conclusive, guide clinical practice/health-related behavior, or treated as established information.

Journal reference:
Dr. Sanchari Sinha Dutta

Written by

Dr. Sanchari Sinha Dutta

Dr. Sanchari Sinha Dutta is a science communicator who believes in spreading the power of science in every corner of the world. She has a Bachelor of Science (B.Sc.) degree and a Master's of Science (M.Sc.) in biology and human physiology. Following her Master's degree, Sanchari went on to study a Ph.D. in human physiology. She has authored more than 10 original research articles, all of which have been published in world renowned international journals.

Citations

Please use one of the following formats to cite this article in your essay, paper or report:

  • APA

    Dutta, Sanchari Sinha Dutta. (2021, August 01). Risk of venous thrombosis is higher in SARS-CoV-2 infection than vaccination. News-Medical. Retrieved on January 19, 2026 from https://intakehealthlab.com/news/20210801/Risk-of-venous-thrombosis-is-higher-in-SARS-CoV-2-infection-than-vaccination.aspx.

  • MLA

    Dutta, Sanchari Sinha Dutta. "Risk of venous thrombosis is higher in SARS-CoV-2 infection than vaccination". News-Medical. 19 January 2026. <https://intakehealthlab.com/news/20210801/Risk-of-venous-thrombosis-is-higher-in-SARS-CoV-2-infection-than-vaccination.aspx>.

  • Chicago

    Dutta, Sanchari Sinha Dutta. "Risk of venous thrombosis is higher in SARS-CoV-2 infection than vaccination". News-Medical. https://intakehealthlab.com/news/20210801/Risk-of-venous-thrombosis-is-higher-in-SARS-CoV-2-infection-than-vaccination.aspx. (accessed January 19, 2026).

  • Harvard

    Dutta, Sanchari Sinha Dutta. 2021. Risk of venous thrombosis is higher in SARS-CoV-2 infection than vaccination. News-Medical, viewed 19 January 2026, https://intakehealthlab.com/news/20210801/Risk-of-venous-thrombosis-is-higher-in-SARS-CoV-2-infection-than-vaccination.aspx.

Comments

The opinions expressed here are the views of the writer and do not necessarily reflect the views and opinions of News Medical.
Post a new comment
Post

Sign in to keep reading

We're committed to providing free access to quality science. By registering and providing insight into your preferences you're joining a community of over 1m science interested individuals and help us to provide you with insightful content whilst keeping our service free.

or

While we only use edited and approved content for Azthena answers, it may on occasions provide incorrect responses. Please confirm any data provided with the related suppliers or authors. We do not provide medical advice, if you search for medical information you must always consult a medical professional before acting on any information provided.

Your questions, but not your email details will be shared with OpenAI and retained for 30 days in accordance with their privacy principles.

Please do not ask questions that use sensitive or confidential information.

Read the full Terms & Conditions.

You might also like...
Tattoo ink alters immune cells and weakens some vaccine responses