Human milk antibodies elicited by vaccination show reduced activity against SARS-CoV-2 VoCs

In a study recently published on the medRxiv* preprint server, scientists from Singapore have assessed the levels of IgA-specific anti-severe acute respiratory syndrome coronavirus 2 (SARS-CoV-2) antibodies in the breast milk of women recently immunized with the second dose of an mRNA-based coronavirus disease 2019 (COVID-19) vaccine. The findings reveal a lower titer of antibodies against SARS-CoV-2 Variants of Concern (VOCs) in the breast milk after vaccination.

This news article was a review of a preliminary scientific report that had not undergone peer-review at the time of publication. Since its initial publication, the scientific report has now been peer reviewed and accepted for publication in a Scientific Journal. Links to the preliminary and peer-reviewed reports are available in the Sources section at the bottom of this article. View Sources

Background

Studies conducted in real-world situations have demonstrated that Pfizer/BioNTech-developed COVID-19 vaccine BNT162b2 can elicit anti-SARS-CoV-2 antibodies in human breast milk. However, it remains uncertain whether these antibodies can protect against emerging VOCs of SARS-CoV-2 and how long the protection persists. Since clinical studies testing vaccine efficacy did not involve pregnant or lactating women, more real-world studies are required to investigate the extent of passive immunity in infants.

In the current study, the scientists have investigated whether BNT162b2 vaccination can induce IgA-specific antibodies in breast milk against the spike receptor-binding domains (RBD) of SARS-CoV-2 VOCs. Specifically, they have targeted four VOCs, including alpha (first detected in the UK), beta (first detected in South Africa), gamma (first detected in Brazil), and delta (first detected in India) variants.

Study design

The study was conducted on 46 lactating women who received two doses of the Pfizer/BioNTech vaccine BNT162b2 at an interval of 21 days. Milk samples were collected before vaccination (baseline), 3 – 7 days after the second vaccination, and 4 – 6 weeks after the second vaccination. The levels of IgA-specific anti-RBD antibodies against the original SARS-CoV-2 strain and four VOCs were measure using enzyme-linked immunosorbent assay (ELISA).  

Important observations

The study findings revealed that the antibodies could be detected in breast milk within 3 – 7 days after the second vaccination. In addition, the levels of antibodies developed against the beta, gamma, and delta variants were 28 – 33% lower than those developed against the original viral strain. However, no difference in antibody level was observed between the original SARS-CoV-2 and the alpha variant.

A reduction in antibody levels in the breast milk was observed after 4 – 6 weeks of the second vaccination. However, the levels were still higher than the pre-vaccination levels. Compared to the original SARS-CoV-2, a 25 – 30% reduction in antibody levels was observed for all tested VOCs except for the alpha variant.

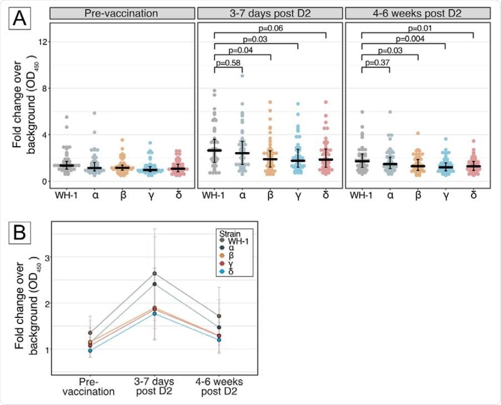
Panel A, Differential human milk IgA binding to receptor binding domain (RBD) of SARS-CoV-2 spike protein of the ancestral Wuhan-Hu-1 strain (WH-1), Alpha (B.1.1.7), Beta (B.1.351), Gamma (P.1) and Delta (B.1.617.2) variants of concern, after vaccination with BNT162b2 across 3 time points: pre-vaccination, 3-7 days post D2 and 4-6 weeks post D2. Each dot denotes an individual sample. Centre line denotes the median, and error bars show Quartile 1 (bottom bar) and Quartile 3 (top bar). P values were calculated using Dunn’s Many-to-One Rank Comparison Test and reported for VOC compared against WH-1. At 3-7 days post D2, reduction from WH-1 for Alpha = 8%, Beta = 28%, Gamma = 33%, Delta = 30%. At 4-6 weeks post D2, reduction from WH-1 for Alpha = 14%, Beta = 25%, Gamma = 30%, Delta = 25%. Panel B, Kinetics of human milk IgA binding across 3 timepoints for ancestral Wuhan-Hu-1 strain (WH-1), Alpha (B.1.1.7), Beta (B.1.351), Gamma (P.1) and Delta (B.1.617.2) variants of concern. Each line represents 1 strain. Dots represent the median and error bars represent interquartile range.
Panel A, Differential human milk IgA binding to receptor-binding domain (RBD) of SARS-CoV-2 spike protein of the ancestral Wuhan-Hu-1 strain (WH-1), Alpha (B.1.1.7), Beta (B.1.351), Gamma (P.1) and Delta (B.1.617.2) variants of concern, after vaccination with BNT162b2 across 3 time points: pre-vaccination, 3-7 days post D2 and 4-6 weeks post D2. Each dot denotes an individual sample. Centre line denotes the median, and error bars show Quartile 1 (bottom bar) and Quartile 3 (top bar). P values were calculated using Dunn’s Many-to-One Rank Comparison Test and reported for VOC compared against WH-1. At 3-7 days post D2, reduction from WH-1 for Alpha = 8%, Beta = 28%, Gamma = 33%, Delta = 30%. At 4-6 weeks post D2, reduction from WH-1 for Alpha = 14%, Beta = 25%, Gamma = 30%, Delta = 25%. Panel B, Kinetics of human milk IgA binding across 3 timepoints for ancestral Wuhan-Hu-1 strain (WH-1), Alpha (B.1.1.7), Beta (B.1.351), Gamma (P.1) and Delta (B.1.617.2) variants of concern. Each line represents 1 strain. Dots represent the median and error bars represent interquartile range.

Study significance

The study reveals that BNT162b2-induced IgA antibodies against SARS-CoV-2 and its variants remain detectable in breast milk six weeks after the second vaccination. This indicates that mucosal immunity against SARS-CoV-2 can be transferred from breastfeeding mothers to infants who are not eligible for vaccination and are at high risk of severe COVID-19.

However, the reduction in antibody levels with time observed in the study indicates a rapid waning of vaccine-induced immunity in infants.

As mentioned by the scientists, the study findings are limited to binding antibodies only. No experiment has been conducted to assess the virus-neutralizing ability of the antibodies. However, there is evidence suggesting that IgA binding antibodies in the breast milk of vaccinated women positively correlate with neutralization.    

Overall, the study highlights the importance of vaccinating pregnant women to ensure the transfer of long-lasting passive immunity to infants via the placenta. Moreover, lactating mothers should be prioritized for vaccination to improve the level of protection in susceptible infants.

This news article was a review of a preliminary scientific report that had not undergone peer-review at the time of publication. Since its initial publication, the scientific report has now been peer reviewed and accepted for publication in a Scientific Journal. Links to the preliminary and peer-reviewed reports are available in the Sources section at the bottom of this article. View Sources

Journal references:

Article Revisions

  • Apr 13 2023 - The preprint preliminary research paper that this article was based upon was accepted for publication in a peer-reviewed Scientific Journal. This article was edited accordingly to include a link to the final peer-reviewed paper, now shown in the sources section.
Dr. Sanchari Sinha Dutta

Written by

Dr. Sanchari Sinha Dutta

Dr. Sanchari Sinha Dutta is a science communicator who believes in spreading the power of science in every corner of the world. She has a Bachelor of Science (B.Sc.) degree and a Master's of Science (M.Sc.) in biology and human physiology. Following her Master's degree, Sanchari went on to study a Ph.D. in human physiology. She has authored more than 10 original research articles, all of which have been published in world renowned international journals.

Citations

Please use one of the following formats to cite this article in your essay, paper or report:

  • APA

    Dutta, Sanchari Sinha Dutta. (2023, April 13). Human milk antibodies elicited by vaccination show reduced activity against SARS-CoV-2 VoCs. News-Medical. Retrieved on January 19, 2026 from https://intakehealthlab.com/news/20210924/Human-milk-antibodies-elicited-by-vaccination-show-reduced-activity-against-SARS-CoV-2-VoCs.aspx.

  • MLA

    Dutta, Sanchari Sinha Dutta. "Human milk antibodies elicited by vaccination show reduced activity against SARS-CoV-2 VoCs". News-Medical. 19 January 2026. <https://intakehealthlab.com/news/20210924/Human-milk-antibodies-elicited-by-vaccination-show-reduced-activity-against-SARS-CoV-2-VoCs.aspx>.

  • Chicago

    Dutta, Sanchari Sinha Dutta. "Human milk antibodies elicited by vaccination show reduced activity against SARS-CoV-2 VoCs". News-Medical. https://intakehealthlab.com/news/20210924/Human-milk-antibodies-elicited-by-vaccination-show-reduced-activity-against-SARS-CoV-2-VoCs.aspx. (accessed January 19, 2026).

  • Harvard

    Dutta, Sanchari Sinha Dutta. 2023. Human milk antibodies elicited by vaccination show reduced activity against SARS-CoV-2 VoCs. News-Medical, viewed 19 January 2026, https://intakehealthlab.com/news/20210924/Human-milk-antibodies-elicited-by-vaccination-show-reduced-activity-against-SARS-CoV-2-VoCs.aspx.

Comments

The opinions expressed here are the views of the writer and do not necessarily reflect the views and opinions of News Medical.
Post a new comment
Post

Sign in to keep reading

We're committed to providing free access to quality science. By registering and providing insight into your preferences you're joining a community of over 1m science interested individuals and help us to provide you with insightful content whilst keeping our service free.

or

While we only use edited and approved content for Azthena answers, it may on occasions provide incorrect responses. Please confirm any data provided with the related suppliers or authors. We do not provide medical advice, if you search for medical information you must always consult a medical professional before acting on any information provided.

Your questions, but not your email details will be shared with OpenAI and retained for 30 days in accordance with their privacy principles.

Please do not ask questions that use sensitive or confidential information.

Read the full Terms & Conditions.

You might also like...
Breastfeeding linked to lower long-term depression and anxiety in mothers