Vitamin D plays a regulatory role in both innate and adaptive immunity. Vitamin D3 (cholecalciferol) deficiency has been found to increase the risk of infections, and in bacterial sepsis, vitamin D deficiency results in acute respiratory distress syndrome (ARDS).
Since ARDS is prevalent in coronavirus disease 2019 (COVID-19), it is important to investigate the role of vitamin D in severe acute respiratory syndrome coronavirus 2 (SARS-CoV-2) infection and whether its deficiency increases the risk of infection.
A recent study posted to the medRxiv* preprint server attempted to understand the relationship between vitamin D levels and COVID-19 by studying a population of UK healthcare workers who exhibited symptoms for COVID-19.

This news article was a review of a preliminary scientific report that had not undergone peer-review at the time of publication. Since its initial publication, the scientific report has now been peer reviewed and accepted for publication in a Scientific Journal. Links to the preliminary and peer-reviewed reports are available in the Sources section at the bottom of this article. View Sources
How was the study performed?
The study subjects for this present observational study were recruited from the University Hospital Birmingham NHS Foundation Trust (UHBFT) between 12 to 22 of May 2020. This study was part of the COVID-19 convalescent immunity (COCO) study. The inclusion criteria for the cohorts in the study were members of the staff exhibiting symptoms of COVID-19.
Demographic details like age, sex, race and ethnicity were obtained from the study participants. Blood samples were collected from the participants to determine the SARS-CoV-2 antibody and vitamin D levels.
Anti-SARS-CoV-2 spike glycoprotein antibodies were measured by means of a combined IgG, IgA, and IgM ELISA. Vitamin D status was determined using mass spectrometry measurement of 25(OH)D3 levels which were reported as nmol/L. The measured vitamin D levels were stratified into three categories: Severe vitamin D deficiency when levels were < 30 nmol/L, vitamin D deficiency when levels were between 30 nmol/L and 50 nmol/L, vitamin D insufficiency when levels were between 50 nmol/L and 75 nmol/L, vitamin D sufficiency when levels were ≥75 nmol/L.
The study had 379 participants, of which 282 were females, 274 belonged to white ethnicity, 233 had no associated comorbidities. The median age of the study population was 42 years, and median BMI was 25.9 and the median vitamin D levels were 55.4 nmol/L.
A U-shaped curve represents the relationship between vitamin D levels and SARS-CoV-2 seropositivity rate
The vitamin D levels amongst the study population were measured and showed that 15.8 % had a severe deficiency, 25.9% had a deficiency, 39.8% had insufficiency, 18.5% had sufficient levels of vitamin D.
The relationship between seropositivity and vitamin D levels exhibited as a U-shaped curve where SARS-CoV-2 seropositivity rate increased with a decrease in vitamin D levels at values below 80 nmol/L and then increased with increasing levels of vitamin D beyond 80nmol/L. A plateau was observed between 80 and 100 nmol/L. This trend was also observed amongst the cohort subgroups.
SARS-CoV-2 seropositivity rate against serum VD levels by (A) Total, (B) Age group, (C) Ethnicity, (D) Sex, (E) BMI, and (F) Presence of Comorbidities. Seropositivity rate is defined as the number of SARS-CoV-2 positive cases, divided by the total number of cases. The data is represented by a weighted second-order polynomial regression smooth line. The line equation and the R2 value is placed beside each corresponding line. *VD = Vitamin D, BMI = Body Mass Index, BAME = Black, Asian and Minority Ethnic.
54.9% of the participants were positive for anti-SARS-CoV-2 spike glycoprotein antibodies. The median vitamin D levels of the COVID-19 seropositive and seronegative groups were not significantly different.
Interestingly, it was observed that the COVID-19 seropositive group had more participants with severely deficient vitamin D when compared to the seronegative population. SARS-CoV-2 seropositivity was highest at 73.3 % in the severely deficient vitamin D group when compared to the deficient, insufficient, and sufficient groups.
Association of vitamin D levels and SARS-CoV-2 seropositivity in subgroups stratified based on age, ethnicity, sex, BMI and comorbidities
In both the age subgroups of < 50 and ≥ 50, differences in SARS-CoV-2 seropositivity were similar between the severely deficient and deficient vitamin D categories.
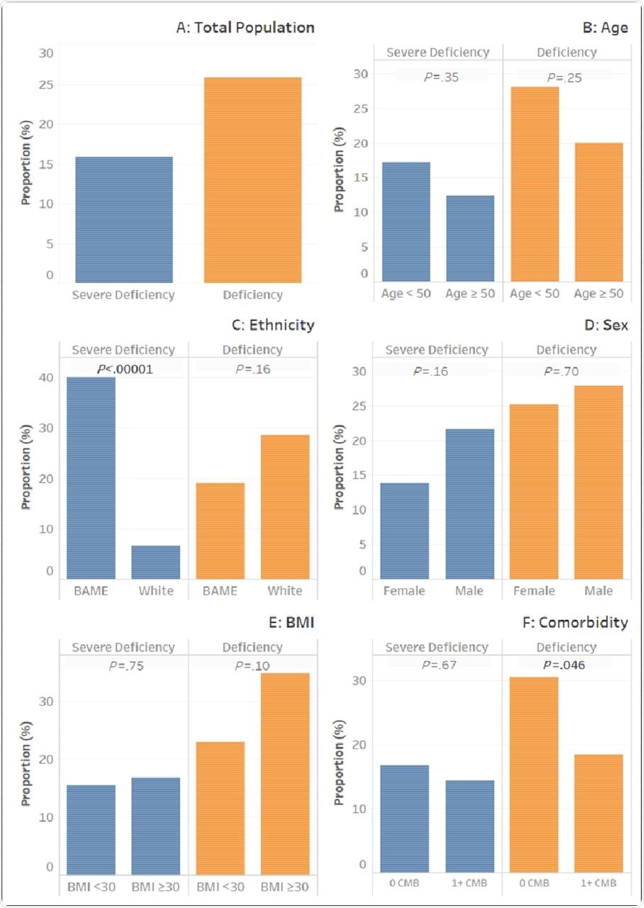
Proportion of subgroup population by VD category. Each bar represents the proportion of the specific group which are VD deficient and severely VD deficient. Comparisons are made between the two subgroups to determine whether there is a significant difference in the proportion of the subgroup which is in the VD category. Ns = P >.05, *= P ≤.05, and ****= P <0.00001. $VD = Vitamin D, BMI = Body Mass Index, BAME = Black, Asian and Minority Ethnic.
In the < 50 age subgroup, a significant difference in seropositivity was observed only among the severely deficient and insufficient vitamin D levels.
In the Black, Asian and Ethnic minority (BAME) ethnicity subgroups, there was an increase in SARS-CoV-2 seropositivity rate with an increase in vitamin D levels from 80 -90 nmol/L, with a greater increase in rate observed in the BAME group.
In both men and women, there was observed a significant decline in seropositivity between the severely deficient and deficient vitamin D level categories.
In men, a significant difference in seropositivity was seen between the severely deficient and insufficient vitamin D categories and between the severely deficient and sufficient categories.
It was also interesting to find that the seropositivity rate in men plateaued at a lower vitamin D level of approximately 80 nmol/L when compared to women whose rate plateaued at approximately 100 nmol/L.
The change in seropositivity rate was similar in both the BMI subgroups of ≥ 30 kg/m2 and < 30 kg/m2, with the rates declining up to 80 nmol/L vitamin D levels. In the < 30 kg/m2 BMI sub-group, a significant reduction in the seropositivity levels was observed when comparing the severely deficient category with the deficient or insufficient category.
A significant reduction in seropositivity was observed in the severely deficient and deficient categories in the ‘no comorbidity’ sub-group. The largest difference in seropositivity was observed in the ‘no comorbidity’ (44.1%) and +1 comorbidity (60.2%) subgroups amongst the insufficient vitamin D level category.
Relative proportions of paired subgroups within VD categories. Statistical comparisons in the proportions between VD categories is detailed in Table 4. VD category numbers: 1=Severe deficiency, 2=Deficiency, 3=Insufficiency, 4=Sufficiency. *VD = Vitamin D, BMI = Body Mass Index, BAME = Black, Asian and Minority Ethnic.
Identification of subgroups prone to severe vitamin D deficiency
The impact of age on vitamin D levels was assessed. In the severely deficient category, the proportion of individuals who are ≥ 50 years of age are less than those in the < 50 years of age. Individuals who are < 50 years of age are more likely to be in the vitamin D deficient category than in the sufficient category.
A significantly more significant proportion of individuals in the BAME group (40%) constituted the severely deficient vitamin D category when compared to the white ethnic group (6.6%). The individuals in the BAME subgroup are more likely to belong to the severe vitamin D deficient category than the deficient category.
There was no significant difference in the proportion of males and females in the severely deficient vitamin D and deficient category. There was a closely substantial difference only in the severely deficient and sufficient categories, with more females than males in both categories.
In the severe vitamin D deficient category there was no significant difference in the proportion of individuals belonging to the BMI ≥ 30 kg/m2 versus the BMI < 30 kg/m2 subgroups. In the vitamin D deficient and sufficient categories a significant difference was observed in the proportion of individuals. The proportion being more in the BMI < 30 kg/m2 compared to BMI ≥ 30 kg/m2 sub group in both categories.
The proportion of individuals in the vitamin D deficient category was significantly higher in the 0 comorbidity subgroup when compared to the 1 + comorbidity group. Amongst individuals in both the comorbidity groups, the proportion of individuals in the vitamin D deficient category was higher than in the severely deficient category. A significant difference in proportions was observed between the vitamin D insufficient category and deficient category and the deficient and sufficient category.
Limitations of the study
The study had numerous limitations. First, multiple ethnicities were aggregated into the single BAME group, so further subcategorization of ethnicities was not investigated.
There may be a possibility of seasonal variation in vitamin D levels though participants were all recruited in May to reduce the effect of seasonal variation. In addition, the disease severity was not considered, which may affect the interpretation of results.
Conclusion
The present study generated a U-shaped curve to represent the relationship between vitamin D levels and SARS-CoV-2 seropositivity in UK health care workers. The observed increased seropositivity at both ends of the vitamin D level spectrum should be investigated further. Future studies are required to identify the optimum vitamin D levels that will positively affect SARS-CoV-2 infection susceptibility.

This news article was a review of a preliminary scientific report that had not undergone peer-review at the time of publication. Since its initial publication, the scientific report has now been peer reviewed and accepted for publication in a Scientific Journal. Links to the preliminary and peer-reviewed reports are available in the Sources section at the bottom of this article. View Sources
Journal references:
- Preliminary scientific report.
Mackay, W. R. et al. Vitamin D Status: A U-shaped relationship for SARS-CoV-2 seropositivity in UK healthcare workers. doi:10.1101/2021.10.11.21264835, https://www.medrxiv.org/content/10.1101/2021.10.11.21264835v1
- Peer reviewed and published scientific report.
Lugg, Sebastian T., William R. Mackay, Aduragbemi A. Faniyi, Sian E. Faustini, Craig Webster, Joanne E. Duffy, Martin Hewison, et al. 2022. “Vitamin D Status: A U-Shaped Relationship for SARS-CoV-2 Seropositivity in UK Healthcare Workers.” BMJ Open Respiratory Research 9 (1): e001258. https://doi.org/10.1136/bmjresp-2022-001258. https://bmjopenrespres.bmj.com/content/9/1/e001258.