Can AI chatbots master the science of dietary balance?

AI-driven chatbots, including ChatGPT 4.0, Gemini, and Microsoft Copilot, were assessed for their ability to create weight-loss meal plans. While all chatbots showed promise, challenges in achieving macronutrient balance and caloric precision highlighted limitations in current algorithms.

Study: Diet Quality and Caloric Accuracy in AI-Generated Diet Plans: A Comparative Study Across Chatbots. Image Credit: N Universe / ShutterstockStudy: Diet Quality and Caloric Accuracy in AI-Generated Diet Plans: A Comparative Study Across Chatbots. Image Credit: N Universe / Shutterstock

A study has been conducted at Amasya University, Türkiye, and the University of Pécs, Hungary, to compare the efficiencies of different artificial intelligence (AI)-driven chatbots in designing personalized diet plans. The study is published in the journal Nutrients.

Background

The popularity of AI-driven applications in medical, nutritional, and educational sectors is considerably increasing worldwide. In nutrition and dietetics, AI-driven chatbots are gaining popularity as potential tools for designing personalized diet plans.

AI chatbots are advanced systems that use artificial intelligence techniques such as natural language processing and machine learning to simulate human-like interactions. They provide dynamic and personalized communication platforms to generate context-specific responses.

Considering their convenience and potential for providing personalized support, people are increasingly relying on AI chatbots for dietary guidance. However, the development and implementation of AI chatbot-generated personalized diet plans in a real-world setting without human assistance have raised concerns, necessitating an in-depth evaluation of the quality of diet plans.

In this study, scientists have assessed the capabilities of different AI chatbots in designing weight-loss diet plans across varying caloric levels and genders.

Study Design

The study analyzed and compared the diet quality of weight-loss meal plans designed by three AI chatbots: Gemini, Microsoft Copilot, and ChatGPT 4.0.

Each chatbot was used to design unique diet plans, customized for male and female profiles, within a calorie range of 1400–1800 kilocalories (kcal) per day.

Methodological framework for assessing chatbot-generated diet plans.Methodological framework for assessing chatbot-generated diet plans.

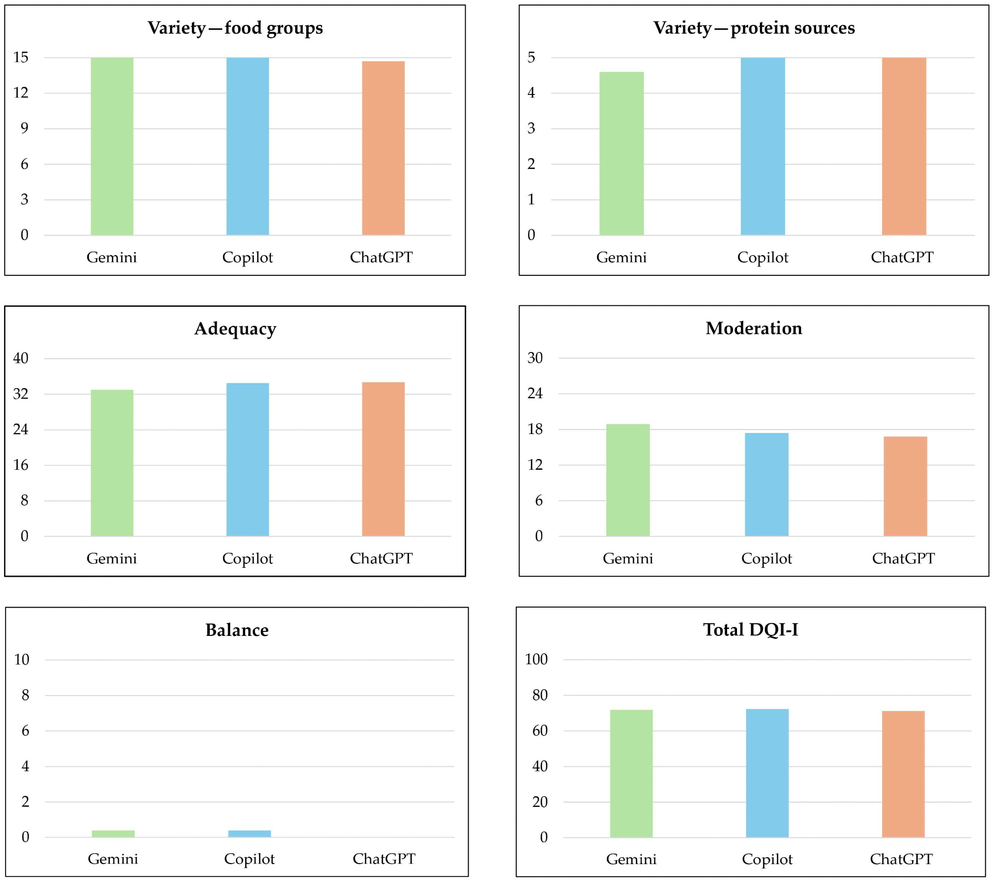
The Diet Quality Index-International (DQI-I) was used to systematically analyze various dimensions of AI-chatbot-generated diet plans, including variety, adequacy, moderation, and balance.

DQI-I is a widely used nutritional quality assessment tool for determining whether a diet aligns with established guidelines and supports overall health. The study reported that the total DQI-I scores were high across all chatbots, with ChatGPT 4.0 scoring 71.20 ± 5.2, Microsoft Copilot 72.30 ± 4.1, and Gemini 71.90 ± 4.1.

Statistical analysis showed no significant differences in DQI-I scores among the three chatbots (p > 0.05).

Caloric accuracy was determined by calculating percentage deviations from requested targets and categorizing discrepancies into defined ranges.

Bar charts of mean total DQI-I scores and sub-scores for Gemini, Microsoft Copilot, and ChatGPT 4.0.Bar charts of mean total DQI-I scores and sub-scores for Gemini, Microsoft Copilot, and ChatGPT 4.0.

Important Observations

The study found a high total DQI-I score for all tested AI chatbots, indicating that the overall diet quality of meal plans is satisfactory.

Among different diet quality dimensions, the highest score for food group variety was achieved by meal plans designed by Gemini and Microsoft Copilot. For protein source variety, the highest score was achieved by meal plans designed via Microsoft Copilot and ChatGPT 4.0.

Notably, gender-based differences were observed, with higher food group variety and protein source variety scores in diets for females compared to males (p < 0.05).

Regarding the balance of meal plans, which refers to the macronutrient and fatty acid ratio, all tested AI chatbots consistently exhibited the lowest scores. This points out a critical limitation in AI algorithms.

The researchers attributed this limitation to the challenges in allocating limited calories across macronutrients in weight-loss diets, which require balancing carbohydrates, proteins, and fats.

The highest precision in meeting the requested caloric targets was observed for ChatGPT 4.0. Meal plans designed by ChatGPT 4.0 did not deviate by more than 20% from the requested calorie level.

In contrast, 50% of the meal plans generated by Gemini deviated by more than 20% from the requested calorie target, highlighting a significant limitation in its caloric adherence.

Study Significance

The study finds that AI-driven chatbots are highly effective in designing nutritionally adequate and diverse weight-loss meal plans. ChatGPT 4.0 exhibits the highest precision in caloric adherence among the three AI chatbots analyzed in the study.

The study has identified a critical limitation in AI algorithms, which requires further evaluation and refinement. Specifically, the study finds that AI-driven chatbots are significantly less effective in designing optimal macronutrient and fatty acid distributions in weight-loss meal plans.

This limitation might be attributed to the fundamental difficulty of programming algorithms to address the complex interactions between macronutrients and individuals' unique dietary needs.

In this study, AI chatbots were used to design low-calorie meal plans. These plans require careful allocation of limited energy across all macronutrients (carbohydrates, proteins, and fats) while maintaining overall nutritional adequacy. This might be the reason for the failure to achieve optimal macronutrient distribution.

The gender-based analysis conducted in the study reveals differences in food group variety and protein source variety scores between meal plans designed for males and females. This observation indicates a potential bias or variability in tailoring diets to male versus female users.

These gender-based differences may reflect biases in the training data or cultural assumptions embedded in the chatbot algorithms.

An optimal distribution of fatty acids (polyunsaturated, monounsaturated, and saturated fatty acids) is vital for maintaining energy balance, cell membrane integrity, and cardiovascular health. Diets high in saturated fats, trans fats, refined carbohydrates, and low in protein and polyunsaturated fatty acids are known to cause serious health adversities.

Considering the critical role of well-balanced macronutrients and fatty acid profiles in dietary planning, scientists advise that nutritionists use AI-chatbot-generated diet plans after proper nutritionist evaluation to avoid diet-related health issues.

In other words, AI chatbots should be utilized to enhance rather than replace the expertise of dietetic professionals.

Journal reference:
  • Kaya Kaçar, H., Kaçar, Ö. F., & Avery, A. (2024). Diet Quality and Caloric Accuracy in AI-Generated Diet Plans: A Comparative Study Across Chatbots. Nutrients, 17(2), 206. DOI: 10.3390/nu17020206, https://www.mdpi.com/2072-6643/17/2/206
Dr. Sanchari Sinha Dutta

Written by

Dr. Sanchari Sinha Dutta

Dr. Sanchari Sinha Dutta is a science communicator who believes in spreading the power of science in every corner of the world. She has a Bachelor of Science (B.Sc.) degree and a Master's of Science (M.Sc.) in biology and human physiology. Following her Master's degree, Sanchari went on to study a Ph.D. in human physiology. She has authored more than 10 original research articles, all of which have been published in world renowned international journals.

Citations

Please use one of the following formats to cite this article in your essay, paper or report:

  • APA

    Dutta, Sanchari Sinha Dutta. (2025, January 09). Can AI chatbots master the science of dietary balance?. News-Medical. Retrieved on January 18, 2026 from https://intakehealthlab.com/news/20250109/Can-AI-chatbots-master-the-science-of-dietary-balance.aspx.

  • MLA

    Dutta, Sanchari Sinha Dutta. "Can AI chatbots master the science of dietary balance?". News-Medical. 18 January 2026. <https://intakehealthlab.com/news/20250109/Can-AI-chatbots-master-the-science-of-dietary-balance.aspx>.

  • Chicago

    Dutta, Sanchari Sinha Dutta. "Can AI chatbots master the science of dietary balance?". News-Medical. https://intakehealthlab.com/news/20250109/Can-AI-chatbots-master-the-science-of-dietary-balance.aspx. (accessed January 18, 2026).

  • Harvard

    Dutta, Sanchari Sinha Dutta. 2025. Can AI chatbots master the science of dietary balance?. News-Medical, viewed 18 January 2026, https://intakehealthlab.com/news/20250109/Can-AI-chatbots-master-the-science-of-dietary-balance.aspx.

Comments

The opinions expressed here are the views of the writer and do not necessarily reflect the views and opinions of News Medical.
Post a new comment
Post

Sign in to keep reading

We're committed to providing free access to quality science. By registering and providing insight into your preferences you're joining a community of over 1m science interested individuals and help us to provide you with insightful content whilst keeping our service free.

or

While we only use edited and approved content for Azthena answers, it may on occasions provide incorrect responses. Please confirm any data provided with the related suppliers or authors. We do not provide medical advice, if you search for medical information you must always consult a medical professional before acting on any information provided.

Your questions, but not your email details will be shared with OpenAI and retained for 30 days in accordance with their privacy principles.

Please do not ask questions that use sensitive or confidential information.

Read the full Terms & Conditions.