New research reveals why life expectancy gains have slowed across Europe—and how proactive policies in some countries helped them weather the COVID-19 crisis better than others.
Study: Changing life expectancy in European countries 1990–2021: a subanalysis of causes and risk factors from the Global Burden of Disease Study 2021. Image Credit: tomertu / Shutterstock
In a recent study published in The Lancet Public Health, researchers compared the trends in risk factors, mortality causes, and life expectancy in European countries before and during the coronavirus disease 2019 (COVID-19) pandemic.
Life expectancy is a vital measure of population health and has increased since the 1900s in high-income countries. This increase could be attributed to progressive and sustained improvements in nutrition, infant mortality, infectious disease control, and living standards. However, the increase in life expectancy has slowed since 2011 in all countries except Norway, and in some cases, the slowdown was more pronounced. The slowdown was further exacerbated in 2020 due to the COVID-19 pandemic.
COVID-19 led to high rates of mortality, reducing life expectancy in many countries. These reductions have not recovered yet, and some regions still experience excess deaths post-2021. However, not all countries experienced equal declines—while most saw a decrease, some, such as Ireland, Iceland, Sweden, Norway, and Denmark, showed marginal improvement or stability in life expectancy. The COVID-19 pandemic may still have a lingering impact on life expectancy from health service disruptions and post-COVID-19 conditions.
About the study
In the present study, researchers compared the trends in risk factors, life expectancy, and causes of death in European countries before and during the COVID-19 pandemic. They used data from the Global Burden of Diseases Study (GBD) 2021. Life expectancy, summary exposure values (SEVs) for risk factors, and deaths attributable to specific risk factors were estimated for the 16 founding European Economic Area (EEA) countries and four United Kingdom (UK) nations.
The researchers compared three time periods: 1990-2011, 2011-19, and 2019-21. They estimated the average annual life expectancy changes for these periods. Life expectancy was estimated at birth, overall, and with decomposition by the cause of death. Life expectancy at birth was the average number of years newborns could expect to live if they were to pass through life exposed to the prevailing age—and sex-specific death rates.
Joinpoint regression models were used to estimate the year with an overall slowdown in life expectancy improvements. Cause-specific death rates for 288 causes were calculated using a GBD-developed tool. Life expectancy changes were attributed to changes in mortality causes for each period to identify the contribution of changes in specific causes of death to the slowdown in life expectancy gains.
Further, life expectancy with decomposition by the cause of death was used to estimate contributions from specific causes. GBD 2021 generated epidemiological estimates for 88 risk factors, and SEVs were estimated for each risk factor. SEV represented the risk-weighted prevalence of exposure. The average age-standardized mortality rates attributable to major risk factors were calculated.
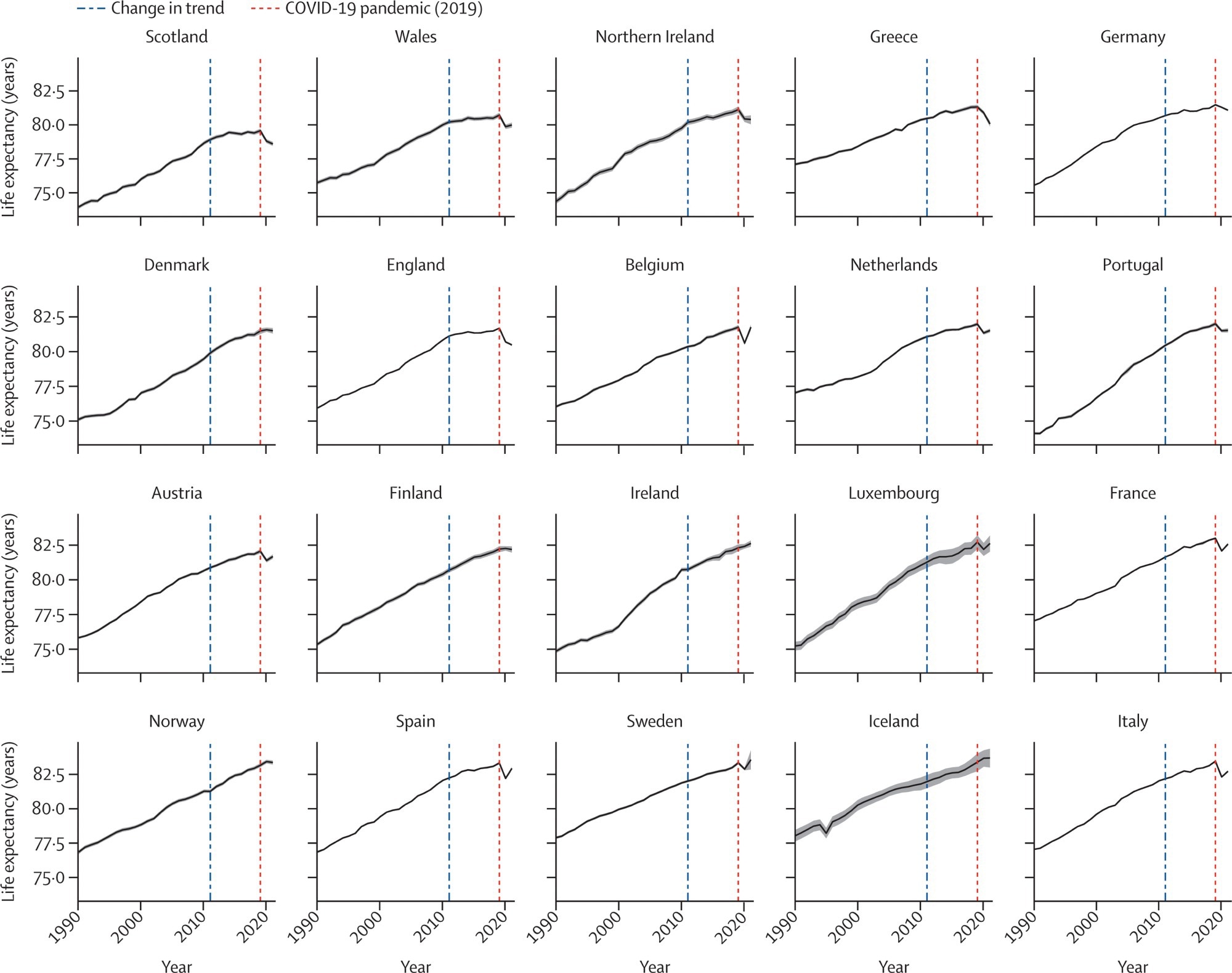
Life expectancy at birth for both sexes combined, from 1990 to 2021 by country, ordered by 2019 life expectancy
Findings
The researchers observed steady life expectancy gains for at least two decades until 2011 when there was a significant change for all countries except Norway. All countries had mean annual gains in life expectancy during 1990-2011 and 2011-19, but there was substantial heterogeneity between countries. The rate of life expectancy gains was lower during 2011-19 than before for all countries except Norway. England showed the highest reduction in the improvement rate between these two periods, while Iceland had the smallest decline.
During 2019-21, life expectancy declined in most countries, but some (Ireland, Iceland, Sweden, Norway, and Denmark) saw marginal improvement or no change. The highest reductions in life expectancy were observed in Greece, England, and the other UK nations. The causes of death accounting for the highest life expectancy gains between 1990 and 2011 were neoplasms and cardiovascular diseases (CVDs).
Countries where the life expectancy gains attributed to these causes were similar from 1990-2011 to 2011-19 were also the countries with the best improvements between these periods: Sweden, Iceland, Belgium, Norway, and Denmark. Moreover, these countries sustained or slightly improved life expectancy during 2019-21. By contrast, the UK nations, Italy, and Greece, which had the greatest slowdown in life expectancy gains before COVID-19, experienced the largest drops in 2019-21.
During this period, in countries with life expectancy declines, the reduction was attributable to deaths from respiratory infections and COVID-19-related outcomes. However, in Ireland and Sweden, despite having a high number of deaths from respiratory infections, overall life expectancy improved due to fewer deaths from neoplasms and CVDs.
The top specific risk factors for CVDs in 2019 were elevated systolic blood pressure (SBP), increased low-density lipoprotein (LDL) cholesterol, and dietary risks. For neoplasms, the top risk factors were nutritional risks, occupational risks, and tobacco smoking. The significant risk factors for both neoplasms and CVDs included dietary risks, smoking, high fasting plasma glucose (FPG), high body mass index (BMI), low physical activity, air pollution, and other environmental risks.
However, these risk factors showed diverging trends:
- Smoking rates steadily declined in all countries.
- BMI steadily increased across all nations over the study period.
- Improvements in high SBP and LDL cholesterol stalled or even reversed after 2011 in many countries.
- Dietary risks and low physical activity remained persistently high.

Changes in life expectancy at birth for both sexes combined, by country and cause of death from 2019 to 2021, ordered by 2019 life expectancy. The solid vertical black bars show life expectancy in 2019 for each country, and the dashed vertical black bars show life expectancy in 2021. The colored bars to the right of the 2019 life expectancy line represent the number of years of improvement that were attributed to specific causes of death. Any colored bars to the left of the 2019 line represent years of worsening life expectancy attributed to specific causes of death between 2019 and 2021. Bars on the outsides of the solid and dashed lines represent equal numbers of years.
Conclusions
In sum, all countries except Norway experienced reductions in life expectancy gains after 2011. The rate of slowdown varied, with some countries managing to sustain improvements better than others. Improvements in deaths from CVDs and neoplasms, as well as improvements in high SBP and LDL cholesterol, substantially slowed after 2011. By contrast, high BMI steadily increased over the three decades, and other risks remained elevated in most nations.
There were marked international differences in life expectancy gains, with Iceland, Norway, Sweden, and Denmark continuing to show progress post-2011 and during the pandemic. These countries implemented policies that helped maintain reductions in mortality from CVDs and neoplasms, possibly mitigating the impact of COVID-19.
Life expectancy trends are linked to long-term policy interventions, suggesting that governments can influence longevity through policy choices, such as reducing dietary risks, ensuring access to healthcare, and addressing commercial determinants of health. For example, Norway has a long history of fiscal measures to reduce sugar consumption, and Belgium’s National Cancer Plan emphasized prevention and early treatment, helping to sustain gains in life expectancy. Conversely, public health funding cuts in the UK after 2010 likely contributed to stagnating improvements in life expectancy.
The study underscores the importance of proactive public health policies in not only improving life expectancy but also in building resilience to future health crises.