Nicotine Quantification in E-Liquids

The electronic cigarette and vaping industries are expanding. In these products, the mixtures which are typically used are called e-juices, e-liquids, or e-fluids. In order to guarantee these e-liquids' qualities, it is necessary to test the most important quality parameters. Nicotine content in e-liquids constitutes one important quality control parameter.

Liquid or gas chromatography usually determines the level of nicotine in tobacco. A significantly more affordable alternative for this determination is non-aqueous acid base titration.

It is possible to apply the aqueous acid base titration put forward in this article to the determination of nicotine. This is because e-liquids do not contain other components which may interfere with the titration.

This technique constitutes a reliable and affordable method of determining e-liquids' nicotine content, as well as their nicotine starting material. This can ensure these products' quality.

Method Description

Sample

Nicotine starting material for e-liquids

E-liquids

Sample preparation

No sample preparation is required

Configuration

. .
905 Titrando 2.905.0010
804 Ti stand 2.804.0040
802 Rod stirrer 2.802.0010
800 Dosino 2.800.0010
Dosing unit 10 mL 6.3032.210
Unitrode easyClean 6.0260.020

 

Solutions

. .
Titrant c(HCl) = 0.1 mol/L
If possible, this solution should be bought from a supplier.

 

Analysis

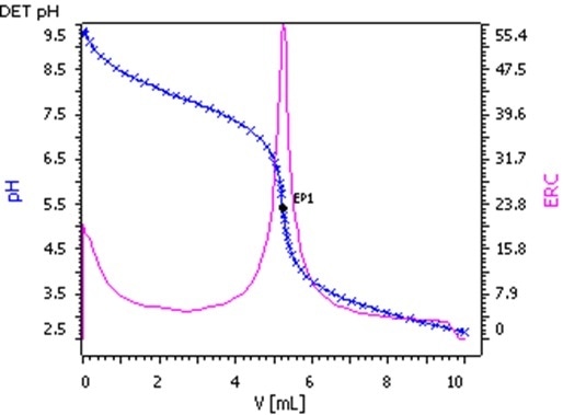
Dependent upon the expected content of nicotine, a sample weighing between 3-20 g is weighed into clean 120 ml disposable beakers, into which roughly 35 ml of ultrapure water is added. This solution gets stirred for 2 minutes before being titrated with c(HCl)= 0.1 mol/L until after the equivalence point.

Parameters

. .
Titration mode DET pH
Stirring rate 8
Pause 0 s
Min. waiting time 0 s
Max. waiting time 26 s
Meas. point density 4
Min. increment 10 µL
Max. increment 1000 µL
Stop volume 10 mL
EP criterion 5
EP recognition greatest

 

Results

Sample (n = 3) Nicotine content /
(mg/mL)
s(rel) /
%
Nicotine starting material 31.39 0.03
E-liquid 1 5.64 0.24
E-liquid 2 2.82 0.04
E-liquid 3 15.32 0.53
E-liquid 4 10.15 0.35

 

About Metrohm

At Metrohm is one of the world’s most trusted manufacturers of high-precision instruments for chemical analysis. Metrohm was founded in 1943 by engineer Bertold Suhner in Herisau, Switzerland. Today, Metrohm is represented in 120 countries by subsidiaries and exclusive distributors. The global Metrohm Group also includes the Dutch companies Metrohm Applikon and Metrohm Autolab, manufacturers of online analyzers and instruments for electrochemical research, respectively. Recently, the Metrohm Group was joined by Metrohm Raman, a leading manufacturer of handheld Raman spectrometers.

Metrohm is the global market leader in analytical instruments for titration. Instruments for ion chromatography, voltammetry, conductivity, and stability measurement make the Metrohm portfolio for ion analysis complete. Instruments for Near-infrared and Raman spectroscopy are another, strongly growing segment of the Metrohm portfolio.

Metrohm is a problem solver, both in the laboratory and within the industrial process. To this end, the company offers their customers complete solutions, including dedicated analytical instrumentation as well as comprehensive application know-how. More than 30% of the company’s employees at the Metrohm international headquarters in Herisau work in R&D.

Metrohm has been owned 100% by the non-profit Metrohm Foundation since 1982. The Metrohm Foundation, which does not exert any influence on the company’s business operations, sponsors gifted students in the natural sciences, supports charitable and philanthropic purposes and, above all, ensures the independence of the company.


Sponsored Content Policy: News-Medical.net publishes articles and related content that may be derived from sources where we have existing commercial relationships, provided such content adds value to the core editorial ethos of News-Medical.Net which is to educate and inform site visitors interested in medical research, science, medical devices and treatments.

Last updated: Apr 8, 2022 at 10:50 AM

Citations

Please use one of the following formats to cite this article in your essay, paper or report:

  • APA

    Metrohm USA Inc.. (2022, April 08). Nicotine Quantification in E-Liquids. News-Medical. Retrieved on January 17, 2026 from https://intakehealthlab.com/whitepaper/20190912/Nicotine-Quantification-in-E-Liquids.aspx.

  • MLA

    Metrohm USA Inc.. "Nicotine Quantification in E-Liquids". News-Medical. 17 January 2026. <https://intakehealthlab.com/whitepaper/20190912/Nicotine-Quantification-in-E-Liquids.aspx>.

  • Chicago

    Metrohm USA Inc.. "Nicotine Quantification in E-Liquids". News-Medical. https://intakehealthlab.com/whitepaper/20190912/Nicotine-Quantification-in-E-Liquids.aspx. (accessed January 17, 2026).

  • Harvard

    Metrohm USA Inc.. 2022. Nicotine Quantification in E-Liquids. News-Medical, viewed 17 January 2026, https://intakehealthlab.com/whitepaper/20190912/Nicotine-Quantification-in-E-Liquids.aspx.

Other White Papers by this Supplier

While we only use edited and approved content for Azthena answers, it may on occasions provide incorrect responses. Please confirm any data provided with the related suppliers or authors. We do not provide medical advice, if you search for medical information you must always consult a medical professional before acting on any information provided.

Your questions, but not your email details will be shared with OpenAI and retained for 30 days in accordance with their privacy principles.

Please do not ask questions that use sensitive or confidential information.

Read the full Terms & Conditions.